Škodljive snovi, ki nastajajo pri požarih in njihovi učinki na zdravje
V primeru požarov so gasilci in splošna javnost izpostavljeni nevarnim snovem, ki nastajajo in se sproščajo med gorenjem različnih materialov in snovi v naravnem ali urbanem okolju (npr. vegetacije, plastičnih in lesnih materialov, gume, olj, bencinov in drugih nevarnih kemikalij, materialov in snovi). Snovi, ki nastanejo pri gorenju, se lahko razlikujejo glede na materiale in snovi, ki gorijo, ter glede na druge spremenljivke požara in so različno strupene za človeka po akutni ali kronični izpostavljenosti. Namen tega članka je podati informacije o snoveh, ki se pri požarih najpogosteje sproščajo in njihovih škodljivih učinkih na zdravje. Pri tem smo upoštevali tudi manj hlapne snovi, ki po požarih lahko ostanejo v okolju tudi dlje časa in v primeru izpostavljenosti lahko vplivajo na zdravje ljudi zaradi onesnaženih tal, poljščin, krme, vode in različnih površin.
Vsak požar povzroča onesnaženje okolja, s tem potencialno škodljivo vpliva tudi na ljudi. Pri ljudeh, ki niso v neposredni bližini požara in mu niso neposredno izpostavljeni, običajno resnejših učinkov na zdravje zaradi požara ne pričakujemo. Vsak požar, pa tudi kurjenje v naravi, pa dodatno prispeva k onesnaženosti našega bivalnega okolja in s tem k obremenitvi telesa z nekaterimi škodljivimi snovmi, ki smo jim zaradi sodobnega načina življenja že sicer izpostavljeni.
Veliko pozornost, skrb in odgovornost je treba nameniti ukrepom, da se požari preprečijo. K onesnaženosti okolja dodatno prispeva tudi kurjenje v naravi.
Kaj je znanega?
Znano je, da tako ob požarih v naravi, kot tudi urbanih požarih oziroma pri vsakršnem gorenju različnih materialov nastajajo številne snovi, ki imajo lahko škodljiv učinek na zdravje.
Kaj je novega?
V članku so na enem mestu zbrane in sistematično predstavljene najpogostejše snovi, ki se sproščajo pri požarih, ter njihovi škodljivi učinki na zdravje ljudi. Informacije iz članka bodo v pomoč javnozdravstvenim strokovnjakom pri obravnavanju požarov in pri odločanju o ukrepih. Take zbirne predstavitve v slovenski strokovni literaturi še nimamo.
V zadnjih nekaj letih se je v Sloveniji zgodilo več požarov nekoliko večjih razsežnosti, pogosto pa se dogajajo tudi manjši požari. Razen v urbanem okolju do požarov prihaja tudi v naravi. Pri gorenju nastajajo snovi, ki so škodljive za zdravje in nekatere med njimi lahko povzročijo tudi smrt (1). Sestavo dima in količino vseh strupenih snovi, ki bodo pri gorenju nastale, določajo številni dejavniki, kot so: materiali, ki gorijo (vključno z vsemi aditivi, prisotnimi v njih, kot so stabilizatorji, mehčala, zaviralci gorenja, polnila …), vrsta ognja, temperatura gorenja, dotok kisika oz. prezračenost ob gorenju (2).
Pri požarih v naseljih ter pri sežiganju odpadkov lahko gorijo različni gradbeni materiali in predmeti. Na primer stavbno in notranje pohištvo, gospodinjski aparati, elektronske naprave, talne obloge, tekstil, embalaža, kabli, izolacije, različni premazi, barve, lepila, tesnila … Gre za mešanico različnih plastičnih in drugih materialov. Lahko gorijo tudi tovarniška poslopja in skladišča, kjer so poleg zgoraj navedenega prisotni še različni drugi materiali in škodljive kemikalije, zelo redko tudi radioaktivni materiali.
Plastični materiali pri gorenju sproščajo veliko ogljikovega dioksida ter, odvisno od prisotnosti kisika/ventilacije, tudi ogljikovega monoksida. Plastika, ki vsebuje halogene elemente (npr. polivinilklorid, plastike, ki vsebujejo halogenirane zaviralce gorenja, kot so različne električne naprave, teflon), pri gorenju lahko v zrak sprošča dražeče pline (vodikov klorid, klor, fosgen, vodikov fluorid, vodikov bromid, perfluoroizobutilen), odvisno od pogojev gorenja pa tudi poliklorirane dibenzo-p-dioksine, dibenzofurane in PCBje (3)(4).
Če so v masi, ki gori, prisotni organofosforjevi zaviralci gorenja, lahko pri gorenju nastanejo fosforjev pentoksid in fosforjeva kislina. Poliuretani (sestavine nekaterih izolacij, premazov, barv, lepil, tesnil, talnih oblog) pri gorenju sproščajo izocianate in vodikov cianid. Pri gorenju poliamidov (avtomobilski deli, električni proizvodi, kuhinjski pripomočki, tekstil, oblačila, embalaža, pohištvo, obutev, gradbeni materiali, medicinski pripomočki) in poliakrilonitrilov (tekstil za različno domačo in industrijsko uporabo, ojačitev nekaterih gradbenih materialov, gospodinjskih pripomočkov), ki vsebujejo dušik, se sprošča vodikov cianid, dušikovi oksidi in amonijak. Le-ti nastanejo tudi pri gorenju drugih vrst plastike, ker se v produkte gorenja lahko vključi dušik iz zraka (odvisno od pogojev gorenja in temperature) (3).
Strupeni elementi (npr. svinec, živo srebro, baker, cink, krom, nikelj) se sproščajo v okolje pri gorenju naftnih derivatov, gradbenih materialov, elektronskih naprav in odpadkov, pa tudi pri požarih v onesnaženi naravi, kjer se elementi po požarih zadržujejo v sedimentih, organskih snoveh v tleh in vegetaciji v gozdovih ter na poljščinah (5)(6)(7).
Ko je v masi, ki gori, prisoten azbest, se azbestna vlakna lahko razpršijo po okolici požara (8).
Les, ki je med najbolj trajnostnimi, estetsko prijetnimi in okolju prijaznimi materiali in se veliko uporablja v gradbeništvu, je vnetljiv in pogosto gori. Pri gorenju lesa nastanejo ogljikov dioksid, ogljikov monoksid, metan in voda ter različne druge snovi, kot so delci, dušikove spojine, aldehidi, policiklični aromatski ogljikovodiki in druge kompleksne organske spojine (3)(9).
Pri požarih ponavadi nastane tudi veliko dima (kompleksne heterogene mešanice tekočih ali trdnih delcev, suspendiranih v plinu). Delci v dimu imajo različno kemijsko sestavo, velikost in obliko. Večje delce vidimo kot dim in saje, majših, ultrafinih delcev, pa ne vidimo. Na delce ogljika, ki jih je veliko v dimu, se lahko vežejo druge škodljive snovi (npr. strupeni elementi svinec, arzen, živo srebro, kadmij itn.) in organske spojine (npr. policiklični aromatski ogljikovodiki) (2). Polimeri, ki vsebujejo alifatske spojine, proizvajajo relativno malo dima, tisti, ki vsebijejo aromatske spojine, pa proizvajajo večje količine črnega dima (10).
V Tabeli 1 so prikazane najbolj pogoste snovi, ki nastanejo pri gorenju nekaterih materialov.
Na strupenost različnih škodljivih snovi, ki nastajajo pri gorenju, ne moremo vplivati, vplivamo pa lahko na zmanjšanje tveganja za zdravje ljudi z zmanjšanjem izpostavljenosti (11).
Tveganje za zdravje ljudi zaradi izpostavljenosti tem škodljivim snovem je odvisno od časa izpostavljenosti in njihove koncentracije v okolju.
Snovi, ki nastajajo pri požarih, tudi sicer nastajajo pri gorenju in kurjenju (npr. kurjenje pri spomladanskem čiščenju v naravi, sežiganje odpadkov) (12).
V nadaljevanju članka predstavljamo akutne in kronične učinke na zdravje zaradi izpostavljenosti najpogostejšim škodljivim snovem, ki nastajajo pri požarih, predvsem zaradi vdihavanja, pa tudi prehajanja preko kože in zaužitja. Pri ljudeh, ki niso v neposredni bližini požara in mu niso neposredno izpostavljeni, običajno resnejših akutnih, niti kroničnih učinkov na zdravje zaradi požara ne pričakujemo. Vendar vsak požar, tudi kurjenje v naravi, še dodatno prispeva k onesnaženosti našega bivalnega okolja in s tem k obremenitvi telesa z nekaterimi škodljivimi snovmi, ki smo jim zaradi sodobnega načina življenja že sicer dolgotrajno izpostavljeni (kemijske snovi v hrani, vodi, v zunanjem zraku, v notranjem zraku zaradi sproščanja iz gradbenih materialov, pohištva, kajenja …). Zato navajamo tudi kronične učinke na zdravje posamezne snovi.
Do kroničnih učinkov na zdravje pa lahko pride pri poklicno izpostavljenih osebah, kot so na primer gasilci.
NAJPOGOSTEJŠE SNOVI, KI NASTAJAJO PRI POŽARIH IN NJIHOVI UČINKI NA ZDRAVJE
Največ smrti in poškodb zaradi požarov povzročajo škodljive snovi, ki nastanejo pri požarih vendar to področje še vedno ni dovolj raziskano (13). V začetnih fazah požarov ter nekaj ur po začetku požara glavno nevarnost za žrtve predstavljajo dražeče spojine. Čeprav izpostavljenost dražečim spojinam takrat večinoma ni življensko ogrožujoča, njihovi učinki onesposobijo žrtve in vplivajo na obnašanje žrtev. Zaradi dima, dražečih učinkov, bolečin v očeh in dihalih, ter težav z dihanjem, se žrtve ne umaknejo pravočasno pred še hujšimi okoliščinami (vročino in dušljivimi plini). Poškodba pljuč, ki jo povzročajo dražeče spojine, se lahko pokaže šele več ur po izpostavljenosti, nastane pljučni edem in vnetje. Čim večja je poškodba pljuč, večja je verjetnost smrti žrtve. Življenjsko ogrožujoči med požari in neposredno po požarih pa sta izpostavljenost dušljivim plinom in pomanjkanje kisika (2). Po požarih v okolju ostajajo delci, obstojne organske spojine in strupeni elementi.
V tem poglavju predstavljamo različne akutne in kronične škodljive učinke na zdravje, ki jih imajo dražeče snovi, dušljivi plini, ter različne organske spojine, delci, azbest in strupeni elementi, ki se sproščajo pri požarih.
1. Dražeče spojine
Dražeče spojine nastajajo pri kateri koli obliki gorenja različnih snovi, kot so les, plastika in drugi polimeri (14)(15). Mednje uvrščamo različne anorganske in organske snovi. Dražeče spojine dražijo oči in sluznice zgornjih dihalnih poti (14)(15). Pri izpostavljenosti višjim koncentracijam lahko pride do vnetja v pljučih in pljučnega edema, lahko nastopi smrt tudi 6 do 48 ur po tem, ko smo izpostavljenega umaknili v neonesnaženo območje (14).
1.1. Dražeče anorganske kisle spojine
Med dražeče anorganske kisle spojine uvrščamo vodikov fluorid, vodikov klorid, vodikov bromid, žveplov dioksid, dušikove okside in fosforjev pentoksid.
1.1.1 Vodikov fluorid (HF)
Akutni učinki na zdravje
HF močno draži čutila in je koroziven. Že ob vdihavanju nizkih koncentracij (0,5 ppm do 1 ure) povzroči draženje in korozijo sluznic nosu, ust in grla. Vdihavanje višjih koncentracij povzroči poškodbo pljuč in zakasnjen pljučni edem, 24 do 48 ur po izpostavljenosti (16)(17). Raziskave na prostovoljcih so pokazale nizko senzorično draženje in delovanje na dihala pri koncentracijah 0,2 do 2,9 ppm, vključno s stiskanjem v prsnem košu, kašljem, bruhanjem in težkim dihanjem. Pri koncentracijah 3 do 6,3 ppm so bili učinki bolj poudarjeni (17). HF je najmočnejši dražljiv plin med halogenimi plini. Pri senzoričnem draženju pa je podobno močan kot HCl in HBr.
Kronični učinki na zdravje
O učinkih na zdravje pri dolgotrajni izpostavljenosti HF je malo podatkov. Čeprav nekaj študij govori v korist povezanosti s pljučnim rakom pri kronično izpostavljenih delavcih, pa te raziskave niso upoštevale motečih dejavnikov, kot so izpostavljenost drugim strupenim snovem ali kajenju (18). Tako rakotvornost tega plina ostaja predmet razprav. Mednarodna agencija za raziskavo raka (IARC ) HF ni vključila v svoj nabor (19).
1.1.2 Vodikov klorid (HCl)
Akutni učinki na zdravje
HCl je močan senzorični dražljivec in dražljivec dihalnih poti. Najpomembnejši tarčni organi so oči, koža, nos, usta, grlo in sapnik. Izpostavljenost 35 ppm HCl je bila povezana s kihanjem, bolečinami v prsnem košu, hripavostjo, vnetjem žrela in občutkom dušenja (20)(21). Vdihavanje HCl pri koncentracijah 50 ppm je bilo močno dražeče za oči, nos, grlo, povezano z bolečino, kašljem, vnetjem in edemom zgornjih dihalnih poti, pri koncentracijah okrog 100 ppm pa je bilo draženje zgornjih dihalnih poti skrajno boleče (22)(14). Pri višjih koncentracijah pride tudi do draženja v pljučih, posledice pa so poškodbe v alveolih in pljučni edem (15). Višje vdihane koncentracije HCl lahko povzročijo tudi korozivne opekline na očeh, v nosu, ustih ali grlu, ulceracije nosnega pretina, pospešeno dihanje, bronhokonstrikcijo in spazem žrela, kar lahko vodi v zadušitev (14)(21)(22). Posledica izpostavljenosti višjim koncentracijam je tudi pljučni edem, ki lahko vodi v akutni respiratorni distresni sindrom (ARDS). Že zelo kratka izpostavljenost koncentracijam od 1000 do 2000 ppm je potencialno smrtna (22).
Kronični učinki na zdravje
Dolgotrajna izpostavljenost HCl povzroča dihalna obolenja, draženje kože in oči ter obarvanost zob. IARC ni uvrstila HCl kot rakotvorno snov (19). Podatkov o učinkih na reprodukcijo ni, prav tako ni podatkov o učinkih na zarodek ali razvoj novorojenčka oziroma otroka (22).
1.1.3 Vodikov bromid (HBr)
Akutni učinki na zdravje
O dražečem učinku HBr na zdravje obstaja le malo študij. Učinki na zdravje so podobni kot pri izpostavljenosti podobnim koncentracijam HCl (14). Izpostavljenost šestih prostovoljcev 5 ppm HBr je povzročila draženje nosu pri vseh in draženje grla pri enem prostovoljcu (23). Pri izpostavljenosti koncentracijam med 1300 in 2000 ppm je nastopila takojšnja smrt (3). V stiku s kožo povzroča resne opekline, v stiku z očmi pa trajne poškodbe (23).
Kronični učinki na zdravje
Literature, ki bi opisala učinke HBr na zdravje ob kronični izpostavljenosti, nismo zasledili (24).
1.1.4 Žveplov dioksid (SO2)
Akutni učinki na zdravje
SO2 je dražljivec dihal, ki je dobro topen v vlažni površini dihal. Zaradi te topnosti se večina SO2 resorbira v nosni sluznici in zgornjih dihalih in ga zelo malo doseže pljuča. Vdihavanje visokih koncentracij povzroči draženje živčnih končičev v dihalih, posledica so kašljanje in težko dihanje. Pri pospešenem dihanju se zmanjša absorpcija SO2 v nosu in zgornjih dihalnih poteh, pri čemer se poveča dotok SO2 v pljuča (npr. pri telesni dejavnosti). Pri zelo visokih koncentracijah je po podatkih iz živalskih modelov nastopila smrt zaradi laringotrahealnega ali pljučnega edema. Pri študijah kratkotrajne izpostavljenosti je koncentracija pomembnejša od časa izpostavljenosti, smrt je nastopila zaradi laringospazma ali bronhospazma. Žveplova kislina okvari pljuča (25).
Kronični učinki na zdravje
Študije na živalih so pokazale, da dolgotrajna izpostavljenost SO2 lahko povzroči intersticijsko pljučnico, bronhitis, traheitis in peribronhitis ter povečano dejavnost serumske holinesteraze. Toksikološke študije kažejo, da spojine, ki nastanejo iz SO2 (sulfit in hidrogensulfit), lahko povzročijo škodo na več organih, nekateri organi so celo bolj prizadeti kot pljuča. Poleg tega pa več študij navaja, da izpostavljenost nizkim koncentracijam SO2 lahko škodljivo deluje na DNK v celicah sesalcev. Izpostavljenost SO2 lahko spremeni izražanje nekaterih genov (predvsem tistih, ki so odgovorni za apoptozo) in sproži apoptozo v jetrih podgan. Ima sinergistične učinke z drugimi onesnaževali v zraku, kot so ozon, NO2 in še posebej z delci PM. Več raziskav je pokazalo, da se SO2 lahko adsorbira na površino delcev PM in tako dospe do spodnjih dihalnih poti, kjer škodljivo deluje na vse telo (26)(27).
1.1.5 Dušikovi oksidi (NOx)
Dušikovi oksidi, kot sta NO in NO2, so prisotni v mešanici dima pri gorenju na zraku (26). Dušikovi oksidi nastajajo pri gorenju snovi, ki vsebujejo dušik, kateri bodo nastali, pa je odvisno od vsebnosti kisika v okolju, kjer gori. Dušik v obliki N2 je naravno prisoten v zraku, tako med gorenjem nastajajo dušikovi oksidi zaradi oksidacije atmosferskega dušika, če so temperature gorenja dovolj visoke (28)(29). Med gorenjem premoga, lesa, tobaka, olja in plina vedno nastajajo NOx. V vodi so manj topni kot drugi dražeči plini zato ob vdihavanju lažje dosežejo bronhiole in alveole ter okvarjajo pljuča (28). Če NOx v visokih koncentracijah pridejo v stik s kožo, se lahko pojavijo resne opekline (30). Pretvorba dušikovih oksidov v zraku lahko vodi do nastanka ozona (O3), kar je zopet povezano z različnimi škodljivimi učinki na zdravje. Ni še znano, ali je nastanek teh dušikovih spojin povezan z reproduktivnimi učinki. IARC in EPA dušikovih oksidov nista klasificirala kot rakotvornih za človeka (19)(30). Ameriška agencija za zaščito okolja EPA (Environmental Protection Agency) poroča, da dolgotrajna izpostavljenost dušikovim oksidom vodi v povečano občutljivost za okužbe dihal in povzroča spremembe v pljučih (31).
1.1.5.1 Dušikov monoksid (NO)
Akutni učinki na zdravje
Možni učinki dušikovega monoksida na zdravje niso bili raziskani v velikih epidemioloških raziskavah, vendar pa je znano, da je precej manj dejaven dražeč plin za dihala kot dušikov dioksid (32). NO je dražeč za oči in zgornnja dihala. Globoko vdihavanje tega plina lahko povzroči pljučni edem, ki nastopi nekaj ur po izpostavljenosti in ga pospeši telesna dejavnost (26). Pri zdravih odraslih prostovoljcih je nastopila pomembna zožitev dihalnih poti, in sicer pri izpostavljenosti koncentracijam približno 20 ppm (26).
1.1.5.2 Dušikov dioksid (NO2)
Akutni učinki na zdravje
Dušikov dioksid je močan akutno dražeč plin in je ob enakih koncentracijah kot dušikov monoksid bolj škodljiv (14). Dražeči učinek NO2 je posledica pretvorbe NO2 ob prisotnosti vode v dušikovo kislino (HNO3) v sluznicah dihal (26)(27). Nižje koncentracije NO2 povzročajo draženje oči, nosu, grla in pljuč, s posledičnim kašljem, težjim dihanjem, utrujenostjo in slabostjo (33). Ob vdihavanju visokih koncentracij NO2 lahko nastopijo takojšnji pekoč občutek v dihalih, spazem in otekanje v grlu in zgornjih dihalih, znižana oksigenacija telesnih tkiv, pljučni edem, nastopi lahko tudi smrt. Kratkotrajna izpostavljenost (manj kot 3 ure) visokim koncentracijam lahko vodi v spremembe v odzivu dihal in pljučnih funkcijah pri ljudeh z obstoječo boleznijo pljuč ter poslabša odziv dihal tudi pri otrocih (33)(34).
1.1.6 Fosforjev pentoksid (P2O5)
Akutni učinki na zdravje
Fosforjev pentoksid je dražeč in koroziven za kožo, oči in sluznice dihal. Vdihavanje lahko povzroči tudi pljučni edem nekaj ur po izpostavljenosti (35)(36).
Kronični učinki na zdravje
Zanesljivih zaključkov glede teratogenosti, mutagenosti in rakotvornosti fosforjevega pentoksida po dolgotrajni izpostavljenosti ni, kajti podatkov iz študij je premalo. IARC fosforjevega pentoksida ni uvrstila kot rakotvornega za človeka (19).
1.2. Druge dražeče anorganske snovi
Tudi druge anorganske snovi, kot sta amonijak in klor, delujejo dražeče.
1.2.1 Amonijak (NH3)
Akutni učinki na zdravje
Pri izpostavljenosti ljudi tipičnim koncentracijam (8-urno povprečje manjše ali enako 25ppm) NH3 v okolju niso zaznali škodljivih vplivov na zdravje. Pri višjih koncentracijah je NH3 močno koroziven in dražeč za dihala in oči ter povzroča solzenje in akutni respiratorni distresni sindrom (37). Amonijak reagira z vlažno sluznico, pri čemer nastane amonijev hidroksid, kar povzroča nekrozo celic zaradi alkalnosti. Izpostavljenost amonijaku pri 50 ppm povzroči takojšnje draženje oči, nosu in grla (38). Izpostavljenost višjim koncentracijam amonijaka (400 ppm) je povezano s hudim draženjem nosu in grla, pospešenim dihanjem (500 ppm), silovitim kašljem in pljučnim edemom, ki nastane 24 ur po izpostavljenosti (1500 in več ppm) (37)(39). Vdihavanje zelo visokih koncentracij > 5000 ppm je smrtno nevarno (38).
Kronični učinki na zdravje
O dolgotrajni izpostavljenosti povišanim koncentracijam amonijaka ni informacij. IARC amonijaka ni uvrstila kot rakotvornega za človeka (19).
1.2.2 Klor (Cl2)
Akutni učinki na zdravje
Klor je močno dražeč plin za oči in dihala (40). Več raziskav o akutni strupenosti je poročalo o draženju oči, nosu in grla ter kašlju pri nižjih koncentracijah (0,014 do 1 ppm) ter slabem počutju zaradi draženja dihal in oči, kašlju, oteženem dihanju in glavobolu pri izpostavljenosti koncentracijam nad 1,00 ppm. Višje koncentracije v vdihanem zraku so bile povezane z naslednjimi učinki pri človeku: bolečine v prsih, bruhanje, dispneja in kašelj pri 30 ppm ter vnetje pljuč in edem pljuč pri 46–60 ppm. Klor je močno dražeč za kožo in lahko povzroči resne opekline kože (41).
Kronični učinki na zdravje
Delavci, kronično izpostavljeni kloru, so občutili učinke na dihalih, očeh in grlu. O reproduktivnih in razvojnih učinkih na zdravje ob dolgotrajni izpostavljenosti z vdihavanjem klora ni informacij (41). IARC ni uvrstila klora kot rakotvornega za človeka ob dolgotrajni izpostavljenosti (19).
1.3. Dražeče organske spojine
Ob gorenju materialov, kot so les, fosilna goriva, sintetični ali naravni polimeri in hrana, po navadi nastajajo številne dražeče organske spojine: aldehidi (npr. akrolein, formaldehid), fosgen, perfluorobutilen, izocianati (2)(20).
1.3.1 Akrolein
Zelo veliko akroleina nastaja pri gorenju lesa.
Slika 1: Strukturna formula akroleina.
Akutni učinki na zdravje
Akrolein (kemijska struktura je prikazana na Sliki 1) je plin, ki močno draži dihala in oči. Prostovoljci, ki so bili akutno izpostavljeni povišanim koncentracijam akroleina od 10 min do 60 minut, so poročali o blagem draženju oči ter nemiru in neugodju (pri koncentracijah 0,09 ppm), draženju nosu in grla ter znižanju frekvence dihanja (pri približni koncentraciji 0,3 ppm) (42). Izpostavljenost akroleinu lahko povzroči pljučni edem, ki nastane nekaj ur po izpostavljenosti (43)(44). Večina posameznikov ne prenaša koncentracij, večjih od 2 ppm akroleina v zraku (44). Izpostavljenost akroleinu v koncentracijah nad 10 ppm povzroči smrt v nekaj minutah (20).
Kronični učinki na zdravje
Poglavitni kronični učinki ob izpostavljenosti akroleinu so draženje dihal, oči, nosu, grla in kože. Glede teratogenosti, reproduktivnega in razvojnega strupenega učinka trenutno ni informacij. IARC akroleina ni uvrstila v skupino rakotvornih spojin (19).
1.3.2 Formaldehid
Slika 2: Strukturna formula formaldehida.
Akutni učinki na zdravje
Draženje oči in nosu, nevrološki učinki in povečano tveganje za astmo in druge alergije so dokazano povezani z akutno izpostavljenostjo formaldehidu pri koncentracijah od 0,1 do 0,5 ppm. Okvara pljučnih funkcij se pojavi pri vdihavanju koncentracij od 0,6 do 0,9 ppm (45). Vdihavanje formaldehida v višjih koncentracijah povzroča bronhospazem, dispnejo in spazem grla. Lahko je tudi vzrok hitrega edema grla in pljuč, z možnim smrtnim izidom nekaj ur po izpostavljenosti 50–100 ppm (46)(47).
Kronični učinki na zdravje
Dolgotrajno vdihavanje formaldehida je bilo povezano z draženjem dihal, oči, nosu in grla. Študije na živalih niso pokazale razvojnih okvar (45). IARC je uvrstila formaldehid v skupino 1, torej med snovi, ki so rakotvorne za človeka (19). Povzroča nazofaringealni rak pri ljudeh. Obstajajo močni dokazi, vendar jih ni dovolj, da je levkemija povezana z dolgotrajno izpostavljenostjo formaldehidu (19).
1.3.3 Fosgen (COCl2)
Slika 3: Strukturna formula fosgena.
Akutni učinki na zdravje
Akutno vdihavanje fosgena ima hude učinke na dihala, vključno s pljučnim edemom, emfizemom, lahko nastopi tudi smrt. Simptomi in znaki ob akutni izpostavljenosti se pričnejo pri koncentracijah 3 ppm: dušenje, kašelj, bolečine pri dihanju in krvav izpljunek. Izpostavljenost fosgenu koncentracijam, višjim od 150 ppm/min, lahko povzroči pljučni edem. Smrt nastopi pri izpostavljenosti koncentracijam višjim od 300 ppm/min, zaradi pomanjkanja kisika v krvi, kar povzroči paralizo dihalnega centra, zadušitev ali odpoved srca. Akutna zastrupitev človeka s fosgenom prizadene tudi možgane, srce in kri. Ti učinki so posledica primanjkljaja kisika in ne neposrednega učinka fosgena. Pri izpostavljenosti kože in oči lahko pride do izrazitega draženja in opeklin. Fosgen okvari pljučno tkivo in vpliva na pljučni imunski odziv (48). Telesna aktivnost izpostavljenega je še posebej nevarna (49).
Kronični učinki na zdravje
Ni dovolj toksikoloških študij ki bi povezovale dolgotrajno izpostavljenost fosgenu z rakavimi obolenji. IARC fosgena ni uvrstila med rakotvorne spojine (19). Ni dostopnih informacij o možnem učinku fosgena na reproduktivni in razvojni proces (48).
1.3.4 Perfluoroizobutilen (PFIB)
Slika 4: Strukturna formula perfluoroizobutilena.
Akutni učinki na zdravje
Vdihavanje PFIB-a ima močan dražeč učinek. Različni učinki na zdravje PFIB so podobni kot pri vdihavanju fosgena, vendar je PFIB še močnejši dražljivec. Ima senzorični učinek in učinek na dihala. Izpostavljenost temu plinu povzroča glavobol, kašljanje, bolečine v prsnem košu in dispnejo. Lahko povzroči tudi pljučni edem okrog 8 ur po prenehanju izpostavljenosti (50).
Kronični učinki na zdravje
Ni podatkov o dolgotrajni izpostavljenosti PFIB in učinkih na zdravje.
1.3.5 Izocianati
Izocianati, spojine, ki imajo zelo reaktivno N=C=O-skupino, nastajajo pri termični razgradnji poliuretanov in poliizocianuratov, ki se uporabljajo za izdelavo pohištva, izolacije v stavbah, v hladilnikih in zamrzovalnikih (51)(52). Prisotni so tudi v tobačnem dimu (53).
Akutni učinki na zdravje
Vdihavanje izocianatov povzroča preobčutljivost dihal in astmo, stik s kožo povzroča draženje in preobčutljivost in vnetje kože, dražeče delujejo na oči (52)(53)(54).
O učinkih izocianatov veliko vemo zaradi katastrofalne nesreče, ki se je leta 1984 zgodila Bhopalu v Indiji. Iz tovarne je ušel plin metil izocianat (ki nastaja tudi pri požarih). Posledice so bile hude, z več kot 2000 primeri smrti in različnimi učinki na zdravje pri več kot 170.000 ljudeh. Pri večini ljudi je bil vzrok smrti edem pljuč, pri nekaterih s posledično okužbo dihal. Drugi učinki ob akutni izpostavljenosti z vdihavanjem metil izocianata pri ljudeh so bili: draženje dihal, težave pri dihanju, oslepitev, slabost, vnetje želodčne sluznice, potenje, vročinski krči ter okvara jeter in ledvic. Preživeli so oboleli za pljučnimi boleznimi (npr. bronhoalveolarne lezije in znižanje pljučne funkcije) in boleznimi oči (npr. izguba vida, katarakta) (55). Obstajajo tudi dokazi, da metil izocianat povzroča alergijske reakcije. Študije na živalih so pokazale, da izpostavljenost nosečih samičk povzroči fetotoksičen učinek (znižana telesna teža), medtem ko nima učinka na matere samice in tako nakazuje, da akutna izpostavljenost škoduje nerojenemu otroku (56).
Slika 5: Strukturna formula metil izocianata.
Kronični učinki na zdravje
V telesu se izocianati vežejo na beljakovine in DNK ter nastanejo škodljive spojine in presnovki (57). O rakotvornem učinku metil izocianata pri ljudeh ni informacij. Na IARC-ovem seznamu rakotvornih snovi se nahaja le toluen diizocianat, ki je uvrščen v skupino 2B, med snovi, ki so morda rakotvorne za človeka (19). Dolgotrajna izpostavljenost vdihavanju toluen izocianata povzroči draženje in poškodbe na pljučih, draženje kože in oči (52). Pri materah, ki so bile noseče med izpostavljenostjo vdihanemu metil izocianatu, se je pokazalo povečano tveganje za splav, vendar so ti učinki vprašljivi, ker ni bila upoštevana izpostavljenost drugim strupenim plinom (58). Po nesreči v Bophalu je imel precejšen delež preživelih težave z reproduktivnim zdravjem, kot so: levkoreja, okužbe medeničnih organov, močno krvaveče menstruacije in zaviranje laktacije, povečano število mrtvorojenih otrok, spontani splavi in povečana umrljivost otrok (58).
2. Dušljivi plini
Med dušljive pline, ki nastajajo ob gorenju organskih snovi (naravnih in umetnih polimerov, različnih goriv …) sodijo ogljikov monoksid, vodikov cianid in ogljikov dioksid (3). Njihov pomemben učinek na zdravje je depresija centralnega živčnega sistema. Če so koncentracije vdihanih plinov dovolj visoke v določenem času, povzročijo pomanjkanje kisika v telesnih tkivih. Posledice za človeka so lahko hude, od nezavesti pa do smrti (59)(60)(61). Dušljivi plini so navadno škodljivi za zdravje ob akutni izpostavljenosti pri vdihavanju visokih koncentracij. Kronična izpostavljenost nižjim koncentracijam je prav tako škodljiva za zdravje, niso pa ti plini rakotvorni, teratogeni ali mutageni.
2.1 Ogljikov monoksid (CO)
Akutni učinki na zdravje
Ogljikov monoksid je dušljiv plin, ki nastane ob vsakovrstnem gorenju (s plamenom ali ob tlenju) vseh organskih snovi. CO pri vdihovanju ne draži sluznic, zato ga ne moremo zaznati in se pravočasno umakniti iz zastrupljenega območja. CO vdihavamo in se preko pljuč razdeli po celotnem telesu ter se veže na proteine, ki vsebujejo železo in baker. Hemoglobin v krvi človeka, ki je odgovoren za prenos kisika (O2) iz pljuč do vseh telesnih tkiv, veže CO z veliko večjo afiniteto kot kisik (≈240 : 1) in nastane karboksihemoglobin (COHb). Poleg tega le-ta težje disociira in tako ni več na voljo hemoglobina, ki bi prenašal kisik. To vodi v tkivno hipoksijo. Znano je, da sta pri zastrupitvi s CO tkivna hipoksija in neposredno delovanje CO na celice preko imunskih in vnetnih mehanizmov (npr. vezava CO na celične proteine (mioglobin, citokrom), tvorjenje dušikovega oksida in peroksinitrita, lipidna peroksidacija, mitohodrijski oksidativni stres, apoptoza) enakovredna procesa kot tvorjenje COHb. Vsa tkiva pa nimajo enake potrebe po kisiku, možgani in srce sta organa, ki sta najbolj prizadeta ob pomanjkanju kisika. Dokazano je, da je zarodek prav tako zelo občutljiv na povečanje koncentracije CO v krvi, okvare se lahko pojavijo zaradi hipoksičnih in/ali nehipoksičnih (še ne dovolj razjasnjenih) mehanizmov (62).
Ko je koncentracija COHb v krvi dovolj visoka (višja od 50 %), lahko nastopi smrt (60)(62)(63). Znaki akutne zastrupitve so: blaga zastrupitev – blag glavobol, slabost, bruhanje, utrujenost, omotičnost, oslabelost, poslabšanje osnovne bolezni (npr. kroničnega bronhitisa ali angine pektoris); zmerna zastrupitev – močan utripajoč glavobol, zaspanost, zmedenost, težave oblikovanja misli, motnje vida, zanašanje pri hoji, mišična nemoč, hitro bitje srca; huda zastrupitev – nezavest, epileptični krči, bolečina za prsnico, odpoved srca in dihanja, smrt (60)(62)(64)(65). Ogrožena skupina so tudi nosečnice, saj hemoglobin zarodka veže CO bolj kot materin, obenem pa se CO težje sprošča z zarodkovega hemoglobina kot z materinega (66).
Kronični učinki na zdravje
Dolgotrajna prisotnost nižjih koncentracij COHb v krvi povzroči škodljive učinke na srčno-žilnem sistemu. Poveča se potencial strjevanja krvi. Pri nosečnicah se pojavi zožanje žil v posteljici, posledice česar so lahko nizka porodna teža in motnje v razvoju novorojenčka. Poleg tega se kisik v tkivih tudi težje sprošča (62).
2.2 Ogljikov dioksid (CO2)
Akutni učinki na zdravje
CO2 pri koncentracijah, ki jih pričakujemo ob gorenju katere koli vrste, ne povzroča zdravstvenih učinkov kot samostojen plin, poveča pa strupenost drugih vdihanih plinov, ker poveča frekvenco in globino dihanja. Pri koncentraciji 2 % CO2 v zraku se minutni volumen v pljučih poveča za 50 %, pri koncentracijah 10 % pa kar za 10-krat (14). Izpostavljenost koncentracijam 7,5 % CO2 za približno 15 minut povzroča glavobol, potenje, povišano srčno frekvenco, nemir, dezorientacijo in motnje vida (67). Nekajurna izpostavljenost koncentracijam 7–10 % CO2 povzroča hud stres, slabost, možnost nastopa nezavesti (68).
Kronični učinki na zdravje
Kronično vdihavanje višjih koncentracij CO2 ob hkratni izpostavljenosti CO je povezano s povišanjem koncentracij COHb v krvi, ker so tudi vdihane koncentracije CO večje (59)(69). Kronična izpostavljenost koncentracijam med 800 ppm in 1200 ppm povzroča simptome in znake draženja zgornjih in spodnjih dihal, oči in kože, povzroči glavobol, utrujenost in motnje v koncentraciji (70).
2.3 Vodikov cianid (HCN)
Akutni učinki na zdravje
Vodikov cianid nastane pri kateri koli vrsti gorenja organskih snovi, ki vsebujejo dušik (1). HCN v krvi razpade na cianidni ion, ki ovira celično izkoriščanje kisika. Podobno kot pri zastrupitvi s CO so najbolj prizadeti možgani in srce. Simptomi in znaki ob akutni zastrupitvi so naslednji: glavobol, slabost, vrtoglavica, zmedenost, mišična slabost, izguba koordinacije, pospešeno dihanje, motnje srčnega ritma, izguba zavesti in koma (14). Po vdihavanju HCN lahko nastopi smrt: ob izpostavljenosti koncentracijam 130 ppm v 30 minutah, koncentracijam 180 ppm v 10 minutah. Pri koncentracijah > 270 ppm nastopi smrt takoj (71). Pri kakršnem koli gorenju moramo upoštevati tudi sočasni učinek drugih strupenih snovi in njihove interakcije. Na primer sočasna prisotnost CO in HCN v dimu lahko povzroči smrt ob nižjih koncentracijah HCN (14)(72)(73).
Kronični učinki na zdravje
Kronično izpostavljeni delavci na delovnem mestu občutijo glavobol, draženje dihal, nelagodja v prsnem košu, palpitacije, izgubo teka in krvavitve iz nosu. Raziskave kažejo, da ima HCN škodljiv učinek na srčno-žilni sistem in dihala, učinke na živčevje, povzroča povečanje ščitnice, draženje očesnih veznic in kože (74). HCN ni rakotvoren. Kroničnega učinka na reprodukcijo in razvojni proces, kot kažejo trenutne študije tako na živalih kot na ljudeh, HCN nima (75).
3. Druge organske spojine
V to skupino lahko uvrstimo veliko različnih organskih spojin, ki nastanejo pri gorenju organskih snovi (npr. fosilnih goriv, naravnih polimerov, kot je les, in sintetičnih polimerov, kot je plastika), še posebej, če je gorenje nepopolno. V tem poglavju omenjamo le nekatere bolj znane spojine: policiklične aromatske ogljikovodike, dioksine in furane, poliklorirane bifenile, benzen, fenol in stiren.
Akutna strupenost oziroma draženje kože in sluznic je pri teh spojinah nekoliko manj pomembna, pomembnejši so kronični učinki za zdravje, npr. mutagenost, rakotvornost, toksičnost za reprodukcijo.
3.1 Policiklični aromatski ogljikovodiki (PAH)
Akutni učinki na zdravje
Akutni učinki na zdravje so zaenkrat še malo znani. Tveganje za raka ob akutni, enkratni izpostavljenosti je zelo majhno. O akutni izpostavljenosti je največ znanega za naftalen, ki povzroča glavobol, slabost, bruhanje, zmedenost, izrazito potenje, draženje nosu, oči in grla ter poškodbo roženice. Značilna za akutno izpostavljenost naftalenu je akutna hemolitična anemija (76).
Kronični učinki na zdravje
Učinki na zdravje ob dolgotrajni izpostavljenosti PAH vključujejo zmanjšanje imunske funkcije, katarakto, ledvično in jetrno okvaro, težave z dihanjem, simptome, podobne astmi, in zmanjšanje pljučne funkcije (76). Ponavljajoč se stik s kožo povzroči rdečico in vnetje kože. Kronični učinki so najbolj odvisni od poti izpostavljenosti (preko vdihavanja, skozi kožo ali pa z zaužitjem). Bolj strupeni od samih PAH so njihovi reaktivni presnovki epoksidi in dihidrodioli, ki se vežejo na celične proteine in DNK. Izkazalo se je, da povzročajo večje tveganje za kožnega in pljučnega raka, pa tudi raka mehurja in raka prebavil. Študije na živalih so pokazale večje tveganje za raka pljuč pri vdihavanju PAH, raka želodca pri zaužitju PAH in raka kože pri stiku s kožo. Benzo(a)piren je bil prva odkrita rakotvorna snov. IARC je klasificirala naslednjih sedem PAH-ov kot rakotvorne za človeka: benz(a)antracen, benzo(a)piren, benzo(b)fluoranten, benzo(k)fluoranten, krisen, dibenz(ah)antracen, in indeno(1,2,3-cd)piren (19)(77). Večina škodljivih učinkov na imunost pa je pravzaprav posledica reaktivnih presnovkov PAH, epoksidov (77). Večina PAH ni genotoksičnih, so pa njihovi presnovki, diol epoksidi, ki reagirajo z DNK. Študije na živalih so pokazale teratogenost PAH, nizko porodno težo, prezgodnje rojstvo in malformacije srca. Pri ljudeh je visoka izpostavljenost med nosečnostjo povezana z nižjim inteligenčnim kvocientom otrok pri treh letih, večjimi vedenjskimi težavami otrok pri šestih letih in astmo v otroštvu (76)(77).
Strukturne formule PAH, ki se pogosto pojavljajo v naravi, so prikazane na Sliki 6.
Slika 6: Strukturne formule PAH, ki se pogosto pojavljajo v naravi: naftalen (a), acenaftilen (b), acenaften (c), fluoren (d), fenantren €, antracen (f), fluoranten (g), piren (h), benzo(a)antracen (i), krizen (j), benzo(b)fluoranten (k), benzo(k)fluoranten (l), benzo(a)piren (m), indeno(1,2,3-c,d)piren (n), benzo(g,h,i)perilen (o) in dibenzo(a,h)antracen (p).
3.2 Dioksini, furani in poliklorirani bifenili
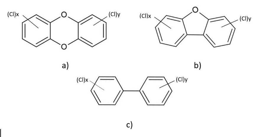
Poliklorirani dibenzo-p-dioksini (PCDD, skrajšano dioksini), poliklorirani dibenzofurani (PCDF, skrajšano furani) in poliklorirani bifenili (PCB) sodijo v veliko skupino halogeniranih organskih spojin s podobnimi kemičnimi, fizikalnimi in biološkimi značilnostmi.
Poznamo 75 izomer polikloriranih dioksinov, 135 izomer polikloriranih furanov, ter 209 vrst PCB (dioksinom podobne in dioksiniom nepodobne PCB). Njihove splošne strukturne formule so prikazane na Sliki 5. V naravi se razgrajujejo zelo počasi in so razvrščeni med dvanajst za okolje najbolj škodljivih obstojnih organskih onesnaževal, ki jih imenujemo tudi »POPs« (angl. persistent organic pollutants). Zanje so bili v svetu sprejeti najstrožji ukrepi nadzora proizvodnje oziroma nastajanja in varstva okolja. Nastajajo praktično pri vseh požarih, pri katerih prihaja do nepopolnega izgorevanja snovi, ki vsebujejo ogljik, kisik in klor.
Slika 7: Splošne strukturne formule polikloriranih dibenzodioksinov (a), polikloriranih dibenzofuranov (b) in polikloriranih bifenilov (c).
Dioksini, furani in poliklorirani bifenili imajo podobne škodljive učinke na zdravje.
Akutni učinki na zdravje
Posamezen dioksin ima dodeljeno vrednost strupenosti (toksični ekvivalentni faktor-TEF) relativno glede na strupenost 2,3,7,8-tetraklorodibenzpo-p-dioksina (TCDD). TCDD, ki je najbolj strupen kongener v tej skupini kemikalij, ima TEF 1 (78).
Od nesreče v Sevesu v Italiji leta 1976, ko je iz kemične tovarne ICMESA ušlo v zrak več kilogramov TCDD, so dioksini znani po slikah majhnih otrok z grozljivimi hamartomi (včasih imenovanimi tudi kloraknami), ki so eden izmed akutnih učinkov zastrupitve z dioksini (79). Zelo znana je tudi akutna zastrupitev s pojavom hamartomov nekdanjega ukrajinskega predsednika Victorja Yuschenka, ki je bil zastrupljen z majhnimi količinami (1–2 miligrama) čistega 2,3,7,8-TCDD (80)(81). Tipična značilnost za hamartome so komedoni, epidermalne ciste in vnete papule s povečano pigmentacijo. Drugi škodljivi učinki so še: prehodna okvara jeter, povišan krvni tlak, povišanje maščobe v krvi ter možna periferna in centralna nevrotoksičnost (82).
Izpostavljenost polikloriranim dibenzofuranom povzroča podobne, a manj izražene učinke na zdravje. Ni podatkov o smrtnem primeru po akutni izpostavljenosti dioksinom (83).
Poliklorirani bifenili imajo majhen potencial za nastanek akutnih strupenih učinkov. Edini očiten znak izpostavljenosti PCB so hamartomi (83)(84)(85). Drugi akutni učinki, ki jih lahko opazimo, so draženje oči, slabost in bruhanje (86).
Kronični učinki na zdravje
Ker dioksini in furani povzročajo spremembe genetskega materiala, so najbolj zaskrbljujoči njihovi potencialni kancerogeni in teratogeni učinki (88).
Kronična, dolgotrajna izpostavljenost dioksinom povzroča številne zdravstvene učinke: draženje kože, poslabšanje delovanja jeter, okvare perifernega živčevja, spremenjeno delovanje imunskega sistema, spremenjene kemijske parametre v krvi, povezuje se z motnjami reproduktivnega sistema, motnjami razvoja, endokrinimi motnjami, motnjami tvorbe sklenine pri otrocih, boleznimi srčno-žilnega sistema, kronično pljučno obstruktivno boleznijo in sladkorno boleznijo. Dioksine povezujejo z nastankom sarkomov maščobnega in mišičnega tkiva, pa tudi drugih rakov spremenjeno delovanje imunskega sistema, spremenjeni kemijski parametri v krvi (87)(88)(91).
TCDD je IARC uvrstila v prvo skupino rakotvornih snovi za človeka (19). Drugi poliklorirani dibenzo-p-dioksini in poliklorirani dibenzofurani so razvrščeni v skupino tri, torej niso rakotvorni za človeka (19). Učinki majhne dolgotrajne izpostavljenosti iz okolja so še nejasni.
Izpostavljenost dioksinom v zgodnjem življenjskem obdobju je povezana z motnjami razvoja osrednjega živčnega sistema in s spremembami v presnovi ogljikovih hidratov in maščob ter lahko vodi do sladkorne bolezni (88).
Ob kronični izpostavljenosti so poliklorirani dibenzofurani endokrini motilci in vplivajo na razvoj imunskega sistema, povzročajo prezgodnjo spolno zrelost pri mladostnikih. Pokazano je bilo, da PCDF lahko prehajajo preko posteljice in se kopičijo v amnijski tekočini. So promotorji za raka jeter, vendar so klasificirani kot ne rakotvorni za človeka (19)(89). Povzročajo inhibicijo presnove vitamina A in s tem znake pomankanja vitamina A (hiperkeratoza epidermisa in posledična alopecija, sindrom kratkega jezika …) (90).
Mnogi ljudje, ki so kronično izpostavljeni PCB, ne kažejo očitnih znakov ali simptomov zaradi škodljivih učinkov PCB. Med osebami z okvaro jeter so lahko znaki izpostavljenosti PCB bolečine v trebuhu, anoreksija, zlatenica, slabost, bruhanje, hujšanje in uroporfirija. Poročali so tudi o glavobolu, omotici in edemu (83)(91).
3.3 Benzen
Akutni učinki na zdravje
Benzen ima nizko akutno strupenost, deluje pa kot splošni anestetik, ki povzroča depresijo centralnega živčnega sistema in izgubo zavesti ter resno draženje oči in kože (11)(92).
Kronični učinki na zdravje
Dolgotrajna izpostavljenost benzenu povzroča škodljive učinke na kostni mozeg in imunski sistem, ter genetske okvare, raka (t.i. benzenska levkemija) in poškodbe organov (11)(19).
3.4 Ostale škodljive organske snovi, ki nastajajo pri požarih, ali ki se uporabljajo pri gašenju požarov
Pri gorenju različnih materialov se sproščajo še številne organske snovi (npr. fenol, stiren, polifluorirane spojine ...), ki povzorčajo različne škodljive učinke na zdravje. Akutna izpostavljenost fenolu lahko povzroča, draženje kože in oči, hude opekline, ter učinke na centralni živčni sistem (93). Dolgotrajna ali kronična izpostavljenost pa lahko povzroči poškodbe jeter, ledvic in oči. Obstaja sum, da povzroča genetske okvare in lahko povzroči okvaro organov pri dolgotrajni ali ponavljajoči se izpostavljenosti (94).
Akutna izpostavljenost stirenu (z vdihavanjem do 800 ppm (3,4 mg/L) 3 ure), povzroča draženje oči in grla, povečano izločanje nosne sluznice, kovinski okus, zaspanost in vrtoglavico. Dolgotrajen stik s stirenom povzroči nastanek mehurjev na koži in razvoj dermatitisa. Poročali so o njegovih škodljivih učinkih na jetra in reproduktivni sistem. Epidemiološke študije so pokazale, da imajo delavci v stiku s stirenom povečano umrljivost ali pojavnost krvnega raka (levkemija, limfom), z možnostjo nastanka tumorjev trebušne slinavke in požiralnika (95). Obstaja sum, da škoduje nerojenemu otroku in draži kožo (96). IARC je stiren uvrstila v skupino 2A, med snovi, verjetno rakotvorne za človeka (19).
Naj omenimo še škodljivost razgradnih produktov halogeniranih ogljikovodikov, ki se uporabljajo za gašenje požarov. Pri njihovem termičnem razpadu poleg CO in CO2 , odvisno od pogojev gorenja, lahko nastanejo tudi vodikov fluorid in COF2 (karbonil fluorid, spojina, podobna fosgenu) (97). Poleg tega obstojne halogenirane spojine, kot so bromirani zaviralci gorenja, prisotni v materialih, ki gorijo, lahko motijo delovanje hormonov in povzročijo nevro-vedenjske učinke, vedenjske motnje in raka (98)(99).
Polifluorirane spojine (PFAS) se akumulirajo v telesu in motijo imunski sistem (100). Polifluorirane spojine, ki se uporabljajo pri gašenju požarov, so škodljive za zdravje, tudi če se ne razgradijo (101).
Škodljivosti številnih organskih snovi, ki prav tako nastanejo pri požarih, pa še sploh ne poznamo.
4. Delci in azbest
4.1.Delci
Pri gorenju se sprošča tudi veliko delcev različnih velikosti, najpogosteje govorimo o delcih premera do 10 oziroma do 2,5 µm (PM10 in PM2,5). V zadnjem času pa je vse več informacij o tem, da pri požarih nastaja veliko še manjših, prostemu očesu nevidnih t.i. ultrafinih delcev ali nanodelcev (velikosti od 1 do 100 nm ali nekoliko večjih). Sestava in velikost delcev se razlikuje glede na vrsto materiala, ki gori in zato so tudi različno škodljivi (102). Na površini lahko delci nosijo različne snovi. Najpogosteje so to PAH, lahko tudi kadmij, nikelj, arzen, ki so prav tako rakotvorni (77), oziroma drugi elementi (103). Mesta odlaganja različno velikih delcev v dihalih so prikazana na Sliki 9.
Akutni učinki na zdravje
Delci, ki vstopajo v naše telo z vdihavanjem, vplivajo predvsem na dihala (draženje, vnetje, kašelj in težave z dihanjem, napadi astme) in srčno-žilni sistem (npr. spremenjen srčni utrip, povečani markerji vnetja, povišan krvni tlak (104)(105).
Kronični učinki na zdravje
Kronična izpostavljenost delcem lahko škodljivo vpliva na vse organske sisteme, predvsem dihala in srčno-žilni sistem, povzroča nevrodegenerativne bolezni, sladkorno bolezen, zavira imunski sistem, vpliva na porodno težo (104)(106). V nasprotju z drugimi snovmi, ki nastajajo v procesu gorenja, škodljivost delcev ni odvisna samo od njihove koncentracije v dimu, temveč je v veliki meri odvisna od velikosti in snovi, vezanih na površini delcev. Glede na svojo velikost prodirajo različno globoko v dihala (107)(108). Ultrafini delci prodrejo do pljučnih mešičkov in iz pljuč prehajajo v krvni obtok ter tako dosežejo različne organe v telesu. Netopni ultrafini delci povzročajo vnetje in poškodbe celic (106).
Slika 8: Mesta odlaganja različno velikih delcev v dihalih, iz članka Hertzberg T, Blomqvist P. Particles from fires—a screening of common materials found in buildings (Hertzberg, 2003).
4.2. Azbest
Azbest (skupno ime za naravna mineralna silikatna vlakna, ki lahko vsebujejo še magnezij, železo, kalcij in natrij) se pri požarih lahko sprošča iz gradbenih materialov, če ga ti vsebujejo. Na primeru velikega požara skladišča z azbestno cementno streho so med čiščenjem pogorišča ugotovili zelo nizke koncentracije azbestnih vlaken (109).
Akutni učinki na zdravje
Za azbestna vlakna, ki se sprostijo ob požaru, kjer gorijo tudi azbestni materiali, ni pričakovati, da bi povzročala resne akutne zdravstvene težave (110)(111). Kljub temu se je potrebno potencialne nevarnosti zavedati.
Kronični učinki na zdravje
Učinki dolgotrajne izpostavljenosti azbestu se pokažejo po daljšem času – po 10–40 in več letih po začetni izpostavljenosti. Posledica izpostavljenosti so lahko azbestne bolezni (brazgotinjenje – fibroza) pljuč in poprsnice, pljučni rak in rak poprsnice ali potrebušnice (maligni mezoteliom). Po klasifikaciji mednarodne agencije za raziskave raka (IARC) sodijo vsi tipi azbestnih vlaken v skupino 1, med dokazano rakotvorne snovi (112). Azbest povzroča tudi raka grla in jajčnikov, povezujejo ga tudi z rakom žrela, želodca in danke.
Varne meje izpostavljenosti azbestu ni, stopnja tveganja je odvisna od izpostavljenosti (113)(114). Najbolj ogroženi so ljudje, ki so bili dalj časa poklicno izpostavljeni vdihavanju večjih koncentracij azbestnih vlaken na svojih delovnih mestih. Maligni mezoteliom pa lahko nastane tudi pri majhni izpostavljenosti (115)(116).
5. Različni elementi
Različni elementi (svinec, kadmij, arzen, živo srebro, nikelj, krom, železo) imajo lahko na zdravje različne škodljive učinke.
Akutni učinki na zdravje
Za strupene elemente velja, da enkratna kratkotrajna izpostavljenost koncentracijam v sledovih (manj kot 10 ppm), ne povzroči akutnih učinkov na zdravje (117).
Kronični učinki na zdravje
Pri dolgotrajni izpostavljenosti ali večkratni kratkotrajni izpostavljenosti različnim koncentracijam strupenih elementov pride do škodljivih učinkov na zdravje zaradi kopičenja v tarčnih organih (117). Na primer svinec (Pb) lahko škodljivo vpliva na jetra, ledvice in živčni sistem ter moti kognitivni razvoj. Krom (Cr) lahko povzroči draženje dihalnih poti, poškodbe ledvic in jeter, oslabljen imunski sistem, v šestvalentni obliki povzroča raka nosu, sinusov in pljuč (71). Izpostavljenost živemu srebru (Hg) lahko povzroči izgubo spomina, je strupen za imunski sistem in povzroči mišično oslabelost (7). Nikelj (Ni) lahko prispeva k dermatitisu in bronhialni astmi, njegove spojine pa je IARC uvrstil med snovi, rakotvorne za človeka (19).
PRIČAKOVANE POSLEDICE POŽAROV NA ZDRAVJE LJUDI
Pri požarih so najpomembnejša ogrožena skupina poklicni gasilci, ki so škodljivim snovem in delcem iz dima najbolj izpostavljeni (poškodb in vročine v tem članku ne obravnavamo). Na območju vpliva požara so bolj ogroženi tudi ljudje z obstoječimi kroničnimi boleznimi pljuč in srčno-žilnega sistema ter drugimi kroničnimi boleznimi, nosečnice, starejši, otroci, kadilci.
Med požarom in takoj po njem je najpomembnejša izpostavljenost škodljivim snovem preko dihal zaradi vdihavanja. Upoštevanje javnozdravstvenih nasvetov, naj se ljudje umaknejo od požarišča in se zadržujejo v zaprtih prostorih brez odpiranja oken običajno prispeva k manjši izpostavljenosti. Posledic zaradi vdihavanja škodljivih snovi tako večinoma ne pričakujemo. Osebe, ki se zadržujejo v neposredni bližini požara, pa najpogosteje občutijo akutne učinke škodljivih snovi: draženje dihal (npr. izcedek iz nosu, kihanje, kašljanje, pekoče žrelo), oči (npr. solzenje, boleče in pekoče oči, pordele veznice) in lahko tudi centralnega živčnega sistema (npr. slabost, bruhanje, glavobol). Ob stiku onesnaževal s kožo lahko pride do draženja kože s pordelostjo, srbenjem, pečenjem.
V obdobju po požaru je lahko pomembna izpostavljenost tudi preko površin, ki so onesnažene s sajami in dimom, preko poljščin, sadja ter živil živalskega izvora, v kolikor se domače živali krmijo s krmo, onesnaženo s sajami in dimom. Možno je tudi onesnaženje vode, tako pitne kot vode za napajanje živali. V tem obdobju je pomembna izpostavljenost obstojnim organskim onesnaževalom (PAH, dioksini in furani, ostale škodljive organske in anorganske snovi) in strupenim elementom (npr. svinec, kadmij, arzen), ki lahko pomenijo tveganje za zdravje v primeru dolgotrajne izpostavljenosti.
Škodljive snovi, ki se pri požaru sproščajo v zrak in povzročajo različne akutne spremembe pljučne funkcije, so pri kronični izpostavljenosti lahko dejavniki tveganja za razvoj kronične pljučne okvare. Nekatere raziskave potrjujejo povezanost med koronarnimi obolenji pri profesionalnih gasilcih, druge pa te povezanosti niso potrdile (118). Tovrstnih raziskav je še premalo.
Kronična izpostavljenost škodljivim snovem, ki se sproščajo pri požarih, lahko vpliva tudi na nastanek nekaterih drugih bolezni (npr. bolezni jeter, rak, vpliv na imunski sistem ...) zlasti tudi v povezavi z drugimi dejavniki tveganja, kot so npr. kajenje, alkohol, telesna neaktivnost (117).
Po izbruhu požara je potrebno pridobiti različne podatke (na primer koncentracije različnih škodljivih snovi v zraku, na poljščinah, v krmi, vodi) za verodostojno oceno dolgoročnih potencialnih vplivov požara na okolje in zdravje. Prebivalcem je potrebno posredovati priporočila o ustreznem ravnanju, da bi se izognili oziroma v največji možni meri zmanjšali izpostavljenost nevarnim snovem v okolju. Pozornost mora biti zlasti usmerjena v varovanje zdravja otrok in zato je del priporočil vedno namenjen vodstvu šol in vrtcev (119)(120)(121)(122).
Izpostavljenost onesnaževalom iz različnih segmentov okolja (npr. iz zraka, iz pitne vode in hrane) lahko ocenimo z določanjem koncentracij snovi v vzorcih krvi, urina, izdihanega zraka ipd. (81)(123). V Sloveniji imamo za izpostavljenost nekaterim kemikalijam (npr. strupenim elementom, obstojnim organskim onesnaževalom) podatke iz nacionalnega humanega biomonitoringa okoljskih kemikalij (123)(124), na voljo pa so tudi različne informacije, pridobljene v velikem evropskem raziskovalnem projektu HBM4EU (125).
Pri obravnavi požarov je potrebno upoštevati tudi učinke na zdravje zaradi izpostavljenosti halogeniranim ogljikovodikom, ki se uporabljajo pri gašenju in se nahajajo v območju vpliva požara ter lahko pronicajo v vodo (npr. bromotrifluoro metan, pentafluoroetan, heptafluoropropan, dodeckfluoro-2-metil-pentan-3-on) (126).
Škodljivih učinkov mešanic različnih snovi na zdravje, ki smo jim pri požarih lahko izpostavljeni, še ne poznamo dovolj (12, 81). Škodljivosti številnih organskih snovi, ki prav tako nastanejo pri požarih, pa še sploh ne poznamo.
Izpostavljenosti škodljivim snovem, ki nastajajo pri požarih in kurjenju, se je priporočljivo v čim večji meri izogniti. Upoštevanje javnozdravstvenih nasvetov, kot so na primer, naj se ljudje umaknejo od požarišča, se v času požara zadržujejo v zaprtih prostorih, ne uživajo onesnaženih živil, počistijo zaradi požara onesnažene površine v svojem notranjem in zunanjem bivalnem okolju, prispevajo k manjši izpostavljenosti ljudi škodljivim snovem zaradi požara. Ob upoštevanju tovrstnih nasvetov pri ljudeh, ki požaru niso neposredno izpostavljeni, resnih škodljivih učinkov na zdravje običajno ne pričakujemo. Zavedati pa se moramo, da vsak požar in sežiganje različnih snovi povzroča onesnaženje okolja, s tem pa potencialno škodljivo vpliva tudi na ljudi (127). To še posebej velja za ogrožene skupine prebivalcev. Pri vsakem požaru ali kurjenju lahko namreč v telo vstopijo škodljive snovi, čeprav v majhnih količinah, ter se v telesu tekom življenja kopičijo (npr. strupeni elementi, obstojna organska onesnaževala). Škodljivim snovem smo izpostavljeni tudi iz drugih virov (hrana, pitna voda, predmeti splošne uporabe, gradbeni materiali …).
Veliko pozornost, skrb in odgovornost je treba nameniti ukrepom, da se požari preprečijo.
ZAKLJUČEK
Pri požarih nastajajo številne različno škodljive snovi, ki lahko imajo tudi resne akutne in kronične učinke na zdravje. Tveganje za zdravje pa ni odvisno le od škodljivosti snovi, ampak tudi od izpostavljenosti. Večja je izpostavljenost, večje je tveganje. Vsak požar ima svoje individualne značilnosti in ga moramo obravnavati posamezno. Kljub temu pa imajo vsi požari določene skupne značilnosti, tako glede škodljivih snovi, ki nastajajo v procesu gorenja kot tudi glede posebej ogroženih skupin. Najbolj ogrožena skupina so gasilci, ki so produktom gorenja najbolj izpostavljeni, na območju vpliva požarov pa so najbolj ogroženi starejši, ljudje z obstoječimi kroničnimi boleznimi, nosečnice, otroci in kadilci.
Vsak požar povzroča onesnaženje okolja in s tem potencialno škodljivo vpliva tudi na ljudi.
Izpostavljenosti škodljivim snovem, ki nastajajo pri požarih in kurjenju, še posebej ogroženih skupin prebivalcev, se je priporočljivo v čim večji meri izogniti. Upoštevati je potrebno navodila pristojnih služb oziroma vodstva intervencije (npr. civilna zaščita, gasilci). Upoštevanje javnozdravstvenih nasvetov za ustrezno ravnanje lahko veliko prispeva k zmanjšanju izpostavljenosti.
Veliko pozornost, skrb in odgovornost je treba nameniti ukrepom, da se požari preprečijo.
Reference
- 1 Gad SC Combustion Toxicology In: Wexler P, editor Encyclopedia of Toxicology (Third Edition) Oxford: Academic Press; 2014 p 1009–19←
- 2 Purser DA, Stec AA, Hull TR 14 - Effects of the material and fire conditions on toxic product yields In: Stec A, Hull R, editors Fire Toxicity: Woodhead Publishing; 2010 p 515–40←
- 3 Wakefield JC, Health Protection Agency CHaPDS, Health Protection Agency Chemical Hazards and Poisons D A Toxicological Review of the Products of Combustion: National Radiological Protection Board; 2010←
- 4 Lönnermark A, Blomqvist P, Marklund S Emissions from simulated deep-seated fires in domestic waste Chemosphere 2008 Jan;70(4): 626–39 ←
- 5 Kristensen, L J, Taylor, M P (2012) Fields and forests in flames: lead and mercury emissions from wildfire pyrogenic activity Environmental health perspectives, 2012; 120(2), a56–a57 ←
- 6 Odigie KO, Flegal AR Trace metal inventories and lead isotopic composition chronicle a forest fire's remobilization of industrial contaminants deposited in the angeles national forest PLoS One 2014 Sep 26; 9(9): e107835←
- 7 Kuntawee C, Tantrakarnapa K, Limpanont Y, et al Exposure to Heavy Metals in Electronic Waste Recycling in Thailand Int J Environ Res Public Health 2020; 17(9): 2996 Published 2020 Apr 26←
- 8 The Management of Asbestos in the Non-occupational Environment Guidelines for Public Health Units (5th edn) Ministry of Health Wellington New Zeland 2017←
- 9 Song K, Ganguly I, Eastin I, Dichiara A High temperature and fire behavior of hydrothermally modified wood impregnated with carbon nanomaterials J Hazard Mater 2020 Feb 15; 384: 121283←
- 10 Gallo, E, Progress in polyesters flame retardancy: new halogen-free formulations PhD Thesis 2009 Naples: University of Naples ←
- 11 World Health Organization Air Quality Guidelines for Europe - 2nd ed WHO Regional Office for Europe, Copenhagen, Denmark, 2000 [spletna stran na Internetu] Pridobljeno 21 4 2022 s spletne strani: https://appswhoint/iris/bitstream/handle/10665/107335/9789289013581-engpdfsequence=1=y←
- 12 Brvar, M Nevarne snovi v dimu in pepelu pri sežiganju odpadkov V: Vpliv sežiganja odpadkov na okolje in zdravje : zbornik prispevkov Slovensko zdravniško društvo, Sekcija za klinično toksikologijo; Univerzitetni klinični center Ljubljana, Center za klinično toksikologijo in farmakologijo, Interna klinika; 2019 ←
- 13 Doroudiani, S, Doroudiani, B, Doroudiani, Z (2012) 9 - Materials that release toxic fumes during fire In F Pacheco-Torgal, S Jalali, A Fucic (Eds), Toxicity of Building Materials (pp 241–82) Woodhead Publishing ←
- 14 Hartzell GE Overview of combustion toxicology Toxicology 1996; 115(1): 7–23←
- 15 Prien T, Traber DL Toxic smoke compounds and inhalation injury - a review Burns 1988; 14(6): 451–60←
- 16 Lund K, Ekstrand J, Boe J, Sostrand P, Kongerud J Exposure to hydrogen fluoride: An experimental study in humans of concentrations of fluoride in plasma, symptoms, and lung function Occupational and Environmental Medicine 1997; 54(1): 32–7←
- 17 International Programme on Chemical Safety (IPCS), Hydrogen Fluoride [spletna stran na nternetu] Pridobljeno 21 4 2022 s spletne strani: http://wwwinchemorg/documents/pims/chemical/hydfluorhtm#PartTitle:7%20%20%20%20TOXICOLOGY←
- 18 CDC Facts About Hydrogen Fluoride (Hydrofluoric Acid) [spletna stran na Internetu] Pridobljeno 21 4 2022 s spletne strani: https://emergencycdcgov/agent/hydrofluoricacid/basics/factsasp←
- 19 IARC The International Agency for Research on Cancer [spletna stran na Internetu] Pridobljeno 21 4 2022 s spletne strani: https://wwwiarcfr/←
- 20 Einhorn IN Physiological and toxicological aspects of smoke produced during the combustion of polymeric materials Environmental health perspectives 1975; 11: 163–89←
- 21 International Programme on Chemical Safety (IPCS) Clorine and Hydrogen Chloride [spletna stran na Internetu] Pridobljeno 21 4 2022 s spletne strani: http://wwwinchemorg/documents/ehc/ehc/ehc21htm←
- 22 Environmental Protection Agency (EPA) HCl [spletna stran na Internetu] Pridobljeno 21 4 2022 s spletne strani: https://wwwepagov/sites/production/files/2016-09/documents/hydrochloric-acidpdf←
- 23 Foroumadi A, Saeedi M Hydrobromic Acid In: Wexler P, editor Encyclopedia of Toxicology (Third Edition) Oxford: Academic Press; 2014 p 957–9←
- 24 National Research Council, Acute Exposure Gudeline Levels for Selected Airborne Chemicals, HBr, volume 17, National Academies Press, 2014←
- 25 Johns DO, Pinto JP, Kim JY, Owens EO Respiratory Effects of Short Term Peak Exposures to Sulfur Dioxide In: Nriagu JO, ed Encyclopedia of Environmental Health Burlington: Elsevier; 2011 p 852–9 ←
- 26 Manisalidis I, Stavropoulou E, Stavropoulos A, Bezirtzoglou E Environmental and Health Impacts of Air Pollution: A Review Front Public Health 2020 Feb 20; 8: 14 ←
- 27 Environmental Protection Agency Sulfur Dioxide Pollution [spletna stran na Internetu] Pridobljeno 21 4 2022 s spletne strani: https://wwwepagov/so2-pollution←
- 28 International Programme on Chemical Safety (IPCS) Nitrogen Oxides [spletna stran na Internetu] Pridobljeno 21 4 2022 s spletne strani: http://wwwinchemorg/documents/ehc/ehc/ehc188htm←
- 29 Glarborg P, Jensen AD, Johnsson JE Fuel nitrogen conversion in solid fuel fired systems Progress in Energy and Combustion Science 2003; 29(2): 89–113←
- 30 Speight JG Chapter 2 - Chemicals in the Environment In: Speight JG, editor Reaction Mechanisms in Environmental Engineering: Butterworth-Heinemann; 2018 p 43–79←
- 31 Environmental Protection Agency (EPA) Basic Information about NO2 [spletna stran na Internetu] Pridobljeno 21 4 2022 s spletne strani: https://wwwepagov/no2-pollution/basic-information-about-no2#Effects←
- 32 Committee on the Medical Effects of Air Pollutants (COMEAP) Statement on the evidence for the effects of nitrogen dioxide on health [spletna stran na Internetu] Pridobljeno 21 4 2022 s spletne strani: https://assetspublishingservicegovuk/government/uploads/system/uploads/attachment_data/file/411756/COMEAP_The_evidence_for_the_effects_of_nitrogen_dioxidepdf←
- 33 Leikauf GD, Prows DR Inorganic compaunds of carbon, nitrogen and oxigen In: Bingham E, Chorssen B, Powell CH, eds, Patty s Toxicology, Fifth Edition, Volume 3 John Wiley Sons, Inc: New York; 2001←
- 34 Horvath EP, doPico GA, Barbee RA, Dickie HA Nitrogen dioxide-induced pulmonary disease: five new cases and a review of the literature Journal of occupational medicine : official publication of the Industrial Medical Association 1978; 20(2): 103–10←
- 35 International Chemical Safety Cards (ICSC) Phosphorus pentoxide [spletna stran na Internetu] Pridobljeno 21 4 2022 s spletne strani: https://wwwiloorg/dyn/icsc/showcarddisplayp_card_id=0545=2=en←
- 36 Bingham E, Phosphorous, selenium, tellurium, and sulfur In: Bingham E, Chorssen B, Powell CH, eds, Patty s Toxicology, Fifth Edition, Volume 3 John Wiley Sons, Inc: New York; 2001←
- I37 nternational Programme on Chemical Safety (IPCS), Ammonia [spletna stran na Internetu] Pridobljeno 21 4 2022 s spletne strani: http://wwwinchemorg/documents/ehc/ehc/ehc54htm←
- 38 Agency for toxic substances and disease registry (ATDSR) [spletna stran na Internetu] Pridobljeno 21 4 2022 s spletne strani: https://wwwatsdrcdcgov/toxprofiles/tp126pdf←
- 39 Silverman L, Whittenberger JL, Muller J Physiological response of man to ammonia in low concentrations J Ind Hyg Toxicol 1949; 31(2): 74–8←
- 40 International Programme on Chemical Safety (IPCS), Chlorine [spletna stran na Internetu] Pridobljeno 21 4 2022 s spletne strani: http://wwwinchemorg/documents/pims/chemical/pim947htm←
- 41 Environmental Protection Agency (EPA) Chlorine [spletna stran na Internetu] Pridobljeno 21 4 2022 s spletne strani: https://wwwepagov/sites/production/files/2016-09/documents/chlorinepdf←
- 42 Environmental Protection Agency (EPA) Acroleine [spletna stran na Internetu] Pridobljeno 21 4 2022 s spletne strani: https://wwwepagov/sites/production/files/2016-08/documents/acroleinpdf←
- 43 Hales CA, Musto SW, Janssens S, Jung W, Quinn DA, Witten M Smoke aldehyde component influences pulmonary edema Journal of Applied Physiology 1992; 72(2): 555–61←
- 44 International Programme on Chemical Safety (IPCS), Acroleine [spletna stran na Internetu] Pridobljeno 21 4 2022 s spletne strani: http://wwwinchemorg/documents/ehc/ehc/ehc127htm←
- 45 Environmental Protection Agency (EPA) Formaldehyde [spletna stran na Internetu] Pridobljeno 21 4 2022 s spletne strani: https://wwwepagov/sites/production/files/2016-09/documents/formaldehydepdf ←
- 46 Committee on the Medical Effects of Air Pollutants (COMEAP) Guidance on the health effects of indoor air pollutants 2004←
- 47 International Programme on Chemical Safety (IPCS), Formaldehyde [spletna stran na Internetu] Pridobljeno 21 4 2022 s spletne strani: http://wwwinchemorg/documents/ehc/ehc/ehc89htm ←
- 48 Environmental Protection Agency (EPA) Phosgene [spletna stran na Internetu] Pridobljeno 21 4 2022 s spletne strani: https://wwwepagov/sites/production/files/2016-09/documents/phosgenepdf←
- 49 International Programme on Chemical Safety (IPCS), Phosgene [spletna stran na Internetu] Pridobljeno 21 4 2022 s spletne strani: http://wwwinchemorg/documents/pims/chemical/pim419htm←
- 50 Patocka J PERFLUOROISOBUTENE: POISONOUS CHOKING GAS MMSL 2019; 88(3): 98–105←
- 51 Dhabbah AM Ways of Analysis of Fire Effluents and Assessment of Toxic Hazards Journal of Analytical Sciences, Methods and Instrumentation 2015; 5: 1–12←
- 52 Bengtström L, Salden M, Stec AA The role of isocyanates in fire toxicity Fire Science Reviews 2016; 5(1): 4←
- 53 Kapp RW Isocyanates In: Wexler P, editor Encyclopedia of Toxicology (Third Edition) Oxford: Academic Press; 2014 p 1112–31←
- 54 Lockey JE, Redlich CA, Streicher R, Pfahles-Hutchens A, Hakkinen PBJ, Ellison GL, et al Isocyanates and human health: multistakeholder information needs and research priorities Journal of occupational and environmental medicine 2015; 57(1): 44–51←
- 55 Dhara R Health effects of the Bhopal gas leak: a review Epidemiol Prev 1992; 14(52): 22–31←
- 56 International Programme on Chemical Safety (IPCS), Methyl isocyanate [spletna stran na Internetu] Pridobljeno 21 4 2022 s spletne strani: http://wwwinchemorg/documents/icsc/icsc/eics0004htm←
- 57 Blomqvist P Emissions from Fires Consequences for Human Safety and the Environment [PhD Thesis] Lund: P Blomqvist; 2005 p 116←
- 58 Environmental Protection Agency (EPA) Methylisocyanate [spletna stran na Internetu] Pridobljeno 21 4 2022 s spletne strani: https://wwwepagov/sites/production/files/2016-09/documents/methyl-isocyanatepdf←
- 59 Goel S, Agarwal D Carbon Dioxide In: Wexler P, editor Encyclopedia of Toxicology (Third Edition) Oxford: Academic Press; 2014 p 675–7←
- 60 Stork CM Carbon Monoxide In: Wexler P, editor Encyclopedia of Toxicology (Third Edition) Oxford: Academic Press; 2014 p 682–4←
- 61 Burr SA, Leung YL Cyanide In: Wexler P, editor Encyclopedia of Toxicology (Third Edition) Oxford: Academic Press; 2014 p 1093–5←
- 62 Brvar M, Šarc L, Jamšek M, Finderle Ž Smernice zdravljenja zastrupitev z ogljikovim monoksidom Zdrav Vestn 2014; 83: 7–17←
- 63 Kaplan HL, Hartzell GE Modeling of Toxicological Effects of Fire Gases: I Incapacitating Effects of Narcotic Fire Gases Journal of Fire Sciences 1984; 2(4): 286–305←
- 64 Institute for Environment and Health (IEH), IEH assessment on Indoor Air Quality in the Home (2): Carbon Monoxide: 1998, medical Research Council←
- 65 Stewart RD The Effect of Carbon Monoxide on Humans Annual Review of Pharmacology 1975; 15(1): 409–23←
- 66 Health Protection Agency (HPA) Carbon Monoxide Toxicological Overview, in HPA Compendium of Chemical Hazards 2014 [spletna stran na Internetu] Pridobljeno 21 4 2022 s spletne strani: https://assetspublishingservicegovuk/government/uploads/system/uploads/attachment_data/file/571154/carbon_monoxide_toxicological_overviewpdf←
- 67 Busby DE Carbon dioxide toxicity Space Clinical Medicine 1968; 1: p 381–419←
- 68 DOH 1996 Department of Health (DoH) Health advisory group on chemical contamination incidents; smoke toxins 1996←
- 69 Levin BC, Paabo M, Joshua MS, Gurman L, Harris SE, Braun E Toxicological interactions between carbon monoxide and carbon dioxide Toxicology 1987; 47(1): 135–64←
- 70 Azuma K, Kagi N, Yanagi U, Osawa H Effects of low-level inhalation exposure to carbon dioxide in indoor environments: A short review on human health and psychomotor performance Environ Int 2018 Dec; 121(Pt 1): 51–6←
- 71 Simeonova FP, Fishbein L, World Health O, International Programme on Chemical S Hydrogen cyanide and cyanides: human health aspects Geneva: World Health Organization; 2004←
- 72 Lundquist P, Rammer L, Sörbo B The role of hydrogen cyanide and carbon monoxide in fire casualties: A prospective study Forensic Science International 1989; 43(1): 9–14←
- 73 Moore SJ, Ho IK, Hume AS Severe hypoxia produced by concomitant intoxication with sublethal doses of carbon monoxide and cyanide Toxicology and Applied Pharmacology 1991; 109(3): 412–20←
- 74 Environmental Protection Agency (EPA) Cyanide Compounds [spletna stran na Internetu] Pridobljeno 21 4 2022 s spletne strani: https://wwwepagov/sites/production/files/2016-09/documents/cyanide-compoundspdf←
- 75 Agency for Toxic Substances and Disease Registry (ATSDR) Toxicological Profile for Cyanide (Update) [spletna stran na Internetu] Pridobljeno 21 4 2022 s spletne strani: https://wwwatsdrcdcgov/toxprofiles/tp8pdf←
- 76 International Programme on Chemical Safety (IPCS), Selected non-heterocyclic policyclic aromatic hydrocarbons [spletna stran na Internetu] Pridobljeno 21 4 2022 s spletne strani: http://wwwinchemorg/documents/ehc/ehc/ehc202htm←
- 77 Abdel-Shafy HI, Mansour MSM A review on polycyclic aromatic hydrocarbons: Source, environmental impact, effect on human health and remediation Egyptian Journal of Petroleum 2016; 25(1): 107–23←
- 78 Van den Berg M, Birnbaum LS, Denison M, De Vito M, Farland W, Feeley M, et al The 2005 World Health Organization reevaluation of human and Mammalian toxic equivalency factors for dioxins and dioxin-like compounds Toxicol Sci 2006; 93(2): 223–41←
- 79 Hay A Toxic cloud over Seveso Nature 1976; 262(5570): 636–8←
- 80 Sorg, O, Zennegg, M, Schmid, P, Fedosyuk, R, Valikhnovskyi, R, Gaide, O, Kniazevych, V, Saurat, J H (2009) 2,3,7,8-tetrachlorodibenzo-p-dioxin (TCDD) poisoning in Victor Yushchenko: identification and measurement of TCDD metabolites Lancet, 374(9696), 1179–85←
- 81 Perharič L Vsi dogodki so med seboj prepleteni v najboljšem vseh svetov ISIS, julij 2017, str 21 do 25; Dioksini, furani in PCB v živilih oziroma hrani https://wwwnijzsi/sl/dioksini-furani-in-pcb-v-zivilih-oziroma-hrani←
- 82 Pelclová D, Urban P, Preiss J, Lukás E, Fenclová Z, Navrátil T, et al Adverse health effects in humans exposed to 2,3,7,8-tetrachlorodibenzo-p-dioxin (TCDD) Rev Environ Health 2006; 21(2): 119–38←
- 83 Agency for Toxic Substances and Disease Registry (ATSDR) Toxicological profile for chlorinated dibenzo-p-dioxins [spletna stran na Internetu] Pridobljeno 21 4 2022 s spletne strani: https://wwwatsdrcdcgov/toxprofiles/tp104pdf←
- 84 Crow KD Chloracne Br J Dermatol 1970 Nov; 83(5): 599–600←
- 85 Letz G The toxicology of PCB's--an overview for clinicians West J Med 1983; 138(4): 534–40←
- 86 National Toxicology Program Polychlorinated biphenyls Rep Carcinog 2011; 12: 349–53 PMID: 21863084←
- 87 Centers for Diseases Control and Prevention (CDC) Dioxins, Furans and Dioxin-Like Polychlorinated Biphenyls Factsheet [spletna stran na Internetu] Pridobljeno 21 4 2022 s spletne strani: https://wwwcdcgov/biomonitoring/DioxinLikeChemicals_FactSheethtml←
- 88 Brvar M NEVARNE SNOVI V DIMU IN PEPELU PRI SEŽIGANJU ODPADKOV V: Vpliv sežiganja odpadkov na okolje in zdravje Zbornik prispevkov, 8 srečanje o kemijski varnosti; Slovensko zdravniško društvo, Sekcija za klinično toksikologijo: Univerzitetni klinični center Ljubljana, Center za klinično toksikologijo in farmakologijo, Interna klinika, 2019 ←
- 89 Badiu C WILLIAMS TEXTBOOK OF ENDOCRINOLOGY Acta Endocrinol (Buchar) 2019; 15(3): 416←
- 90 Kimbourgh RD Chlorodibenzofurans Wexler P, editor Encyclopedia of Toxicology (Third Edition) Oxford: Academic Press; 2014 p 876–9←
- 91 Nacionalni Inštitut za Javno Zdravje Dioksini, furani in PCB v živilih oziroma hrani [spletna stran na Internetu] Pridobljeno 21 4 2022 s spletne strani: https://wwwnijzsi/sl/dioksini-furani-in-pcb-v-zivilih-oziroma-hrani←
- 92 European Chemicals Agency (ECHA) Benzene [spletna stran na Internetu] Pridobljeno 21 4 2022 s spletne strani: https://echaeuropaeu/substance-information/-/substanceinfo/100000685←
- 93 National Center for Biotechnology Information (2022) PubChem Compound Summary for CID 996, Phenol Pridobljeno 21 4 2022 s spletne strani https://pubchemncbinlmnihgov/compound/Phenol←
- 94 European Chemicals Agency (ECHA) Phenol [spletna stran na Internetu] Pridobljeno 21 4 2022 s spletne strani: https://echaeuropaeu/substance-information/-/substanceinfo/100003303←
- 95 National Center for Biotechnology Information (2022) PubChem Compound Summary for CID 7501, Styrene Pridobljeno 21 4 2022 s spletne strani https://pubchemncbinlmnihgov/compound/Styrene←
- 96 European Chemicals Agency (ECHA) Styrene [spletna stran na Internetu] Pridobljeno 21 4 2022 s spletne strani: https://echaeuropaeu/sl/substance-information/-/substanceinfo/100002592←
- 97 Andersson B, Blomqvist P Experimental study of thermal breakdown products from halogenated extinguishing agents Fire Safety Journal 2011; 46(3): 104–15←
- 98 Costa LG, Giordano G Developmental neurotoxicity of polybrominated diphenyl ether (PBDE) flame retardants Neurotoxicology 2007 Nov; 28(6): 1047–67 ←
- 99 Shy CG, Huang HL, Chang-Chien GP, Chao HR, Tsou TC Neurodevelopment of infants with prenatal exposure to polybrominated diphenyl ethers Bull Environ Contam Toxicol 2011 Dec; 87(6): 643–8←
- 100 Risk to human health related to the presence ofperfluoroalkyl substances in food EFSA Journal 2020; 18(9): 6223←
- 101 Young AS, Sparer-Fine EH, Pickard HM, Sunderland EM, Peaslee GF, Allen JG Per- and polyfluoroalkyl substances (PFAS) and total fluorine in fire station dust J Expo Sci Environ Epidemiol 2021 Sep; 31(5): 930–42←
- 102 Naeher LP, Brauer M, Lipsett M, Zelikoff JT, Simpson CD, Koenig JQ, Smith KR Woodsmoke health effects: a review Inhal Toxicol 2007 Jan; 19(1): 67–106←
- 103 Moryani HT, Kong S, Du J, Bao J Health Risk Assessment of Heavy Metals Accumulated on PM25 Fractioned Road Dust from Two Cities of Pakistan Int J Environ Res Public Health 2020 Sep 29; 17(19): 7124←
- 104 Perčič S, Otorepec P, Kukec A Različni patofiziološki učinki onesnaževal v zunanjem zraku na telesna tkiva Zdrav Vestn 2018; 87(3–4): 123–46←
- 105 Mazzoli-Rocha F, Fernandes S, Einicker-Lamas M, Zin WA Roles of oxidative stress in signaling and inflammation induced by particulate matter Cell Biol Toxicol 2010 Oct; 26(5): 481–98 ←
- 106 Fadeel B, Pietroiusti A, Shvedova AA ADVERSE EFFECTS OF ENGINEERED NANOMATERIALS EXPOSURE, TOXICOLOGY, AND IMPACT ON HUMAN HEALTH Preface Adverse Effects of Engineered Nanomaterials: Exposure, Toxicology, and Impact on Human Health 2012:IX-XI←
- 107 Hertzberg T, Blomqvist P Particles from fires - a screening of common materials found in buildings Fire and Materials 2003; 27(6): 295–314←
- 108 Nemmar A, Hoet PH, Vanquickenborne B, Dinsdale D, Thomeer M, Hoylaerts MF, et al Passage of inhaledparticles into the blood circulation in humans Circulation 2002 Jan; 105(4): 411–4←
- 109, (53–54). Lewis NJ, Curtis MF. Occupational Health and Hygiene following a Fire in a Warehouse with an Asbestos Cement Roof, Occupational Medicine, Volume 40, Issue 2, Summer 1990, Pages : . ←
- 110, (2007). Bridgman, 2000 v: Smith KR, Saunders PJ: The Public Health Significance of Asbestos Exposures from Large Scale Fires. HPA : . ←
- 111 Bridgman SA Acute health effects of a fire associated with asbestos containing fallout J Public Health Medicine 2000, Vol 22, No 3, 400–5←
- 112 International Agency for Research on Cancer Monographs on the Evaluation of Carcinogenic Risks to Humans Volume 100C (2012) Asbestos (chrysotile, amosite, crocidolite, tremolite, actinolite, and anthophyllite) [spletna stran na Internetu] Pridobljeno 21 4 2022 s spletne strani: http://monographsiarcfr/ENG/Monographs/vol100C/mono100C-11pdf←
- 113 Nishikawa K et al Recent Mortality from Pleural Mesothelioma, Historical Patterns of Asbestos Use, and Adoption of Bans: A Global Assessment Environmental Health Perspectives 2008; Vol 116: No 12: December 2008←
- 114 Collegium Ramazzini Asbestos is still with us: repeat call for a universal ban International journal of occupational medicine and environmental health, 2010; 23(2), 201–7←
- 115 Kovač V Mezoteliomi ONKOLOGIJA / pregledi leto XVI / št 2 / december 2012←
- 116 Franko A, Dolžan V, Kovač V, Arneric N, Dodič-Fikfak M Soluble mesothelin-related peptides levels in patients with malignant mesothelioma Dis Markers 2012; 32: 123–31←
- 117 Tchounwou PB, Yedjou CG, Patlolla AK, Sutton DJ Heavy metal toxicity and the environment Exp Suppl 2012; 101: 133–64 ←
- 118 Adetona O, Reinhardt TE, Domitrovich J, Broyles G, Adetona AM, Kleinman MT, et al Review of the health effects of wildland fire smoke on wildland firefighters and the public Inhal Toxicol 2016; 28(3): 95–139←
- 119 Nacionalni Inštitut za Javno Zdravje Priporočila okoliškim prebivalcem po požaru pri Vrhniki [spletna stran na Internetu] Pridobljeno 21 4 2022 s spletne strani: Pridobljeno: https://wwwnijzsi/sl/priporocila-okoliskim-prebivalcem-po-pozaru-pri-vrhniki←
- 120 Nacionalni Inštitut za Javno Zdravje Priporočila za prebivalce po požaru v Ljutomeru [spletna stran na Internetu] Pridobljeno 21 4 2022 s spletne strani: https://wwwnijzsi/sl/priporocila-za-prebivalce-po-pozaru-v-ljutomeru←
- 121 Nacionalni Inštitut za Javno Zdravje Priporočila prebivalcem po požaru pri Novem mestu [spletna stran na Internetu] Pridobljeno 21 4 2022 s spletne strani: https://wwwnijzsi/sl/priporocila-prebivalcem-po-pozaru-pri-novem-mestu←
- 122 Galičič A et al Pristop k določitvi prizadetega območja in vzorčenja segmentov okolja za oceno dolgoročnega vpliva požara v podjetju Kemis doo na Vrhniki na zdravje ljudi Javno zdravje 2018; 2(1): 21–8←
- 123 Joksić, A Š, Tratnik, J S, Mazej, D, Kocman, D, Stajnko, A, Eržen, I, Horvat, M (2022) Polycyclic aromatic hydrocarbons (PAHs) in men and lactating women in Slovenia: Results of the first national human biomonitoring International Journal of Hygiene and Environmental Health, 2022; 241, 113943←
- 124 Perharic L, Vracko P Development of national human biomonitoring programme in Slovenia Int J Hyg Environ Health 2012 Feb; 215(2): 180–4 doi: 101016/jijheh201110014 Epub 2011 Dec 9 ←
- 125 HBM4EU Science and policy for a healthy future [spletna stran na Internetu] Pridobljeno 21 4 2022 s spletne strani: https://wwwhbm4eueu/←
- 126 Andersson, B, Blomqvist, P Experimental study of thermal breakdown products from halogenated extinguishing agents Fire Safety Journal, 2011; 46(3): 104–15←
- 127 Dodič Fikfak, M Vpliv sežigalnic, sosežigalnic in termoelektrarn na zdravje delavcev in okoliških prebivalcev V: Vpliv sežiganja odpadkov na okolje in zdravje : zbornik prispevkov Slovensko zdravniško društvo, Sekcija za klinično toksikologijo; Univerzitetni klinični center Ljubljana, Center za klinično toksikologijo in farmakologijo, Interna klinika; 2019←
ZAHVALA
Delo je nastalo s finančno pomočjo projekta InnoRenew CoE (Horizon 2020 Framework Programme of the European Union; H2020 WIDESPREAD-2-Teaming.
Reference
- 1 Gad SC Combustion Toxicology In: Wexler P, editor Encyclopedia of Toxicology (Third Edition) Oxford: Academic Press; 2014 p 1009–19←
- 2 Purser DA, Stec AA, Hull TR 14 - Effects of the material and fire conditions on toxic product yields In: Stec A, Hull R, editors Fire Toxicity: Woodhead Publishing; 2010 p 515–40←
- 3 Wakefield JC, Health Protection Agency CHaPDS, Health Protection Agency Chemical Hazards and Poisons D A Toxicological Review of the Products of Combustion: National Radiological Protection Board; 2010←
- 4 Lönnermark A, Blomqvist P, Marklund S Emissions from simulated deep-seated fires in domestic waste Chemosphere 2008 Jan;70(4): 626–39 ←
- 5 Kristensen, L J, Taylor, M P (2012) Fields and forests in flames: lead and mercury emissions from wildfire pyrogenic activity Environmental health perspectives, 2012; 120(2), a56–a57 ←
- 6 Odigie KO, Flegal AR Trace metal inventories and lead isotopic composition chronicle a forest fire's remobilization of industrial contaminants deposited in the angeles national forest PLoS One 2014 Sep 26; 9(9): e107835←
- 7 Kuntawee C, Tantrakarnapa K, Limpanont Y, et al Exposure to Heavy Metals in Electronic Waste Recycling in Thailand Int J Environ Res Public Health 2020; 17(9): 2996 Published 2020 Apr 26←
- 8 The Management of Asbestos in the Non-occupational Environment Guidelines for Public Health Units (5th edn) Ministry of Health Wellington New Zeland 2017←
- 9 Song K, Ganguly I, Eastin I, Dichiara A High temperature and fire behavior of hydrothermally modified wood impregnated with carbon nanomaterials J Hazard Mater 2020 Feb 15; 384: 121283←
- 10 Gallo, E, Progress in polyesters flame retardancy: new halogen-free formulations PhD Thesis 2009 Naples: University of Naples ←
- 11 World Health Organization Air Quality Guidelines for Europe - 2nd ed WHO Regional Office for Europe, Copenhagen, Denmark, 2000 [spletna stran na Internetu] Pridobljeno 21 4 2022 s spletne strani: https://appswhoint/iris/bitstream/handle/10665/107335/9789289013581-engpdfsequence=1=y←
- 12 Brvar, M Nevarne snovi v dimu in pepelu pri sežiganju odpadkov V: Vpliv sežiganja odpadkov na okolje in zdravje : zbornik prispevkov Slovensko zdravniško društvo, Sekcija za klinično toksikologijo; Univerzitetni klinični center Ljubljana, Center za klinično toksikologijo in farmakologijo, Interna klinika; 2019 ←
- 13 Doroudiani, S, Doroudiani, B, Doroudiani, Z (2012) 9 - Materials that release toxic fumes during fire In F Pacheco-Torgal, S Jalali, A Fucic (Eds), Toxicity of Building Materials (pp 241–82) Woodhead Publishing ←
- 14 Hartzell GE Overview of combustion toxicology Toxicology 1996; 115(1): 7–23←
- 15 Prien T, Traber DL Toxic smoke compounds and inhalation injury - a review Burns 1988; 14(6): 451–60←
- 16 Lund K, Ekstrand J, Boe J, Sostrand P, Kongerud J Exposure to hydrogen fluoride: An experimental study in humans of concentrations of fluoride in plasma, symptoms, and lung function Occupational and Environmental Medicine 1997; 54(1): 32–7←
- 17 International Programme on Chemical Safety (IPCS), Hydrogen Fluoride [spletna stran na nternetu] Pridobljeno 21 4 2022 s spletne strani: http://wwwinchemorg/documents/pims/chemical/hydfluorhtm#PartTitle:7%20%20%20%20TOXICOLOGY←
- 18 CDC Facts About Hydrogen Fluoride (Hydrofluoric Acid) [spletna stran na Internetu] Pridobljeno 21 4 2022 s spletne strani: https://emergencycdcgov/agent/hydrofluoricacid/basics/factsasp←
- 19 IARC The International Agency for Research on Cancer [spletna stran na Internetu] Pridobljeno 21 4 2022 s spletne strani: https://wwwiarcfr/←
- 20 Einhorn IN Physiological and toxicological aspects of smoke produced during the combustion of polymeric materials Environmental health perspectives 1975; 11: 163–89←
- 21 International Programme on Chemical Safety (IPCS) Clorine and Hydrogen Chloride [spletna stran na Internetu] Pridobljeno 21 4 2022 s spletne strani: http://wwwinchemorg/documents/ehc/ehc/ehc21htm←
- 22 Environmental Protection Agency (EPA) HCl [spletna stran na Internetu] Pridobljeno 21 4 2022 s spletne strani: https://wwwepagov/sites/production/files/2016-09/documents/hydrochloric-acidpdf←
- 23 Foroumadi A, Saeedi M Hydrobromic Acid In: Wexler P, editor Encyclopedia of Toxicology (Third Edition) Oxford: Academic Press; 2014 p 957–9←
- 24 National Research Council, Acute Exposure Gudeline Levels for Selected Airborne Chemicals, HBr, volume 17, National Academies Press, 2014←
- 25 Johns DO, Pinto JP, Kim JY, Owens EO Respiratory Effects of Short Term Peak Exposures to Sulfur Dioxide In: Nriagu JO, ed Encyclopedia of Environmental Health Burlington: Elsevier; 2011 p 852–9 ←
- 26 Manisalidis I, Stavropoulou E, Stavropoulos A, Bezirtzoglou E Environmental and Health Impacts of Air Pollution: A Review Front Public Health 2020 Feb 20; 8: 14 ←
- 27 Environmental Protection Agency Sulfur Dioxide Pollution [spletna stran na Internetu] Pridobljeno 21 4 2022 s spletne strani: https://wwwepagov/so2-pollution←
- 28 International Programme on Chemical Safety (IPCS) Nitrogen Oxides [spletna stran na Internetu] Pridobljeno 21 4 2022 s spletne strani: http://wwwinchemorg/documents/ehc/ehc/ehc188htm←
- 29 Glarborg P, Jensen AD, Johnsson JE Fuel nitrogen conversion in solid fuel fired systems Progress in Energy and Combustion Science 2003; 29(2): 89–113←
- 30 Speight JG Chapter 2 - Chemicals in the Environment In: Speight JG, editor Reaction Mechanisms in Environmental Engineering: Butterworth-Heinemann; 2018 p 43–79←
- 31 Environmental Protection Agency (EPA) Basic Information about NO2 [spletna stran na Internetu] Pridobljeno 21 4 2022 s spletne strani: https://wwwepagov/no2-pollution/basic-information-about-no2#Effects←
- 32 Committee on the Medical Effects of Air Pollutants (COMEAP) Statement on the evidence for the effects of nitrogen dioxide on health [spletna stran na Internetu] Pridobljeno 21 4 2022 s spletne strani: https://assetspublishingservicegovuk/government/uploads/system/uploads/attachment_data/file/411756/COMEAP_The_evidence_for_the_effects_of_nitrogen_dioxidepdf←
- 33 Leikauf GD, Prows DR Inorganic compaunds of carbon, nitrogen and oxigen In: Bingham E, Chorssen B, Powell CH, eds, Patty s Toxicology, Fifth Edition, Volume 3 John Wiley Sons, Inc: New York; 2001←
- 34 Horvath EP, doPico GA, Barbee RA, Dickie HA Nitrogen dioxide-induced pulmonary disease: five new cases and a review of the literature Journal of occupational medicine : official publication of the Industrial Medical Association 1978; 20(2): 103–10←
- 35 International Chemical Safety Cards (ICSC) Phosphorus pentoxide [spletna stran na Internetu] Pridobljeno 21 4 2022 s spletne strani: https://wwwiloorg/dyn/icsc/showcarddisplayp_card_id=0545=2=en←
- 36 Bingham E, Phosphorous, selenium, tellurium, and sulfur In: Bingham E, Chorssen B, Powell CH, eds, Patty s Toxicology, Fifth Edition, Volume 3 John Wiley Sons, Inc: New York; 2001←
- I37 nternational Programme on Chemical Safety (IPCS), Ammonia [spletna stran na Internetu] Pridobljeno 21 4 2022 s spletne strani: http://wwwinchemorg/documents/ehc/ehc/ehc54htm←
- 38 Agency for toxic substances and disease registry (ATDSR) [spletna stran na Internetu] Pridobljeno 21 4 2022 s spletne strani: https://wwwatsdrcdcgov/toxprofiles/tp126pdf←
- 39 Silverman L, Whittenberger JL, Muller J Physiological response of man to ammonia in low concentrations J Ind Hyg Toxicol 1949; 31(2): 74–8←
- 40 International Programme on Chemical Safety (IPCS), Chlorine [spletna stran na Internetu] Pridobljeno 21 4 2022 s spletne strani: http://wwwinchemorg/documents/pims/chemical/pim947htm←
- 41 Environmental Protection Agency (EPA) Chlorine [spletna stran na Internetu] Pridobljeno 21 4 2022 s spletne strani: https://wwwepagov/sites/production/files/2016-09/documents/chlorinepdf←
- 42 Environmental Protection Agency (EPA) Acroleine [spletna stran na Internetu] Pridobljeno 21 4 2022 s spletne strani: https://wwwepagov/sites/production/files/2016-08/documents/acroleinpdf←
- 43 Hales CA, Musto SW, Janssens S, Jung W, Quinn DA, Witten M Smoke aldehyde component influences pulmonary edema Journal of Applied Physiology 1992; 72(2): 555–61←
- 44 International Programme on Chemical Safety (IPCS), Acroleine [spletna stran na Internetu] Pridobljeno 21 4 2022 s spletne strani: http://wwwinchemorg/documents/ehc/ehc/ehc127htm←
- 45 Environmental Protection Agency (EPA) Formaldehyde [spletna stran na Internetu] Pridobljeno 21 4 2022 s spletne strani: https://wwwepagov/sites/production/files/2016-09/documents/formaldehydepdf ←
- 46 Committee on the Medical Effects of Air Pollutants (COMEAP) Guidance on the health effects of indoor air pollutants 2004←
- 47 International Programme on Chemical Safety (IPCS), Formaldehyde [spletna stran na Internetu] Pridobljeno 21 4 2022 s spletne strani: http://wwwinchemorg/documents/ehc/ehc/ehc89htm ←
- 48 Environmental Protection Agency (EPA) Phosgene [spletna stran na Internetu] Pridobljeno 21 4 2022 s spletne strani: https://wwwepagov/sites/production/files/2016-09/documents/phosgenepdf←
- 49 International Programme on Chemical Safety (IPCS), Phosgene [spletna stran na Internetu] Pridobljeno 21 4 2022 s spletne strani: http://wwwinchemorg/documents/pims/chemical/pim419htm←
- 50 Patocka J PERFLUOROISOBUTENE: POISONOUS CHOKING GAS MMSL 2019; 88(3): 98–105←
- 51 Dhabbah AM Ways of Analysis of Fire Effluents and Assessment of Toxic Hazards Journal of Analytical Sciences, Methods and Instrumentation 2015; 5: 1–12←
- 52 Bengtström L, Salden M, Stec AA The role of isocyanates in fire toxicity Fire Science Reviews 2016; 5(1): 4←
- 53 Kapp RW Isocyanates In: Wexler P, editor Encyclopedia of Toxicology (Third Edition) Oxford: Academic Press; 2014 p 1112–31←
- 54 Lockey JE, Redlich CA, Streicher R, Pfahles-Hutchens A, Hakkinen PBJ, Ellison GL, et al Isocyanates and human health: multistakeholder information needs and research priorities Journal of occupational and environmental medicine 2015; 57(1): 44–51←
- 55 Dhara R Health effects of the Bhopal gas leak: a review Epidemiol Prev 1992; 14(52): 22–31←
- 56 International Programme on Chemical Safety (IPCS), Methyl isocyanate [spletna stran na Internetu] Pridobljeno 21 4 2022 s spletne strani: http://wwwinchemorg/documents/icsc/icsc/eics0004htm←
- 57 Blomqvist P Emissions from Fires Consequences for Human Safety and the Environment [PhD Thesis] Lund: P Blomqvist; 2005 p 116←
- 58 Environmental Protection Agency (EPA) Methylisocyanate [spletna stran na Internetu] Pridobljeno 21 4 2022 s spletne strani: https://wwwepagov/sites/production/files/2016-09/documents/methyl-isocyanatepdf←
- 59 Goel S, Agarwal D Carbon Dioxide In: Wexler P, editor Encyclopedia of Toxicology (Third Edition) Oxford: Academic Press; 2014 p 675–7←
- 60 Stork CM Carbon Monoxide In: Wexler P, editor Encyclopedia of Toxicology (Third Edition) Oxford: Academic Press; 2014 p 682–4←
- 61 Burr SA, Leung YL Cyanide In: Wexler P, editor Encyclopedia of Toxicology (Third Edition) Oxford: Academic Press; 2014 p 1093–5←
- 62 Brvar M, Šarc L, Jamšek M, Finderle Ž Smernice zdravljenja zastrupitev z ogljikovim monoksidom Zdrav Vestn 2014; 83: 7–17←
- 63 Kaplan HL, Hartzell GE Modeling of Toxicological Effects of Fire Gases: I Incapacitating Effects of Narcotic Fire Gases Journal of Fire Sciences 1984; 2(4): 286–305←
- 64 Institute for Environment and Health (IEH), IEH assessment on Indoor Air Quality in the Home (2): Carbon Monoxide: 1998, medical Research Council←
- 65 Stewart RD The Effect of Carbon Monoxide on Humans Annual Review of Pharmacology 1975; 15(1): 409–23←
- 66 Health Protection Agency (HPA) Carbon Monoxide Toxicological Overview, in HPA Compendium of Chemical Hazards 2014 [spletna stran na Internetu] Pridobljeno 21 4 2022 s spletne strani: https://assetspublishingservicegovuk/government/uploads/system/uploads/attachment_data/file/571154/carbon_monoxide_toxicological_overviewpdf←
- 67 Busby DE Carbon dioxide toxicity Space Clinical Medicine 1968; 1: p 381–419←
- 68 DOH 1996 Department of Health (DoH) Health advisory group on chemical contamination incidents; smoke toxins 1996←
- 69 Levin BC, Paabo M, Joshua MS, Gurman L, Harris SE, Braun E Toxicological interactions between carbon monoxide and carbon dioxide Toxicology 1987; 47(1): 135–64←
- 70 Azuma K, Kagi N, Yanagi U, Osawa H Effects of low-level inhalation exposure to carbon dioxide in indoor environments: A short review on human health and psychomotor performance Environ Int 2018 Dec; 121(Pt 1): 51–6←
- 71 Simeonova FP, Fishbein L, World Health O, International Programme on Chemical S Hydrogen cyanide and cyanides: human health aspects Geneva: World Health Organization; 2004←
- 72 Lundquist P, Rammer L, Sörbo B The role of hydrogen cyanide and carbon monoxide in fire casualties: A prospective study Forensic Science International 1989; 43(1): 9–14←
- 73 Moore SJ, Ho IK, Hume AS Severe hypoxia produced by concomitant intoxication with sublethal doses of carbon monoxide and cyanide Toxicology and Applied Pharmacology 1991; 109(3): 412–20←
- 74 Environmental Protection Agency (EPA) Cyanide Compounds [spletna stran na Internetu] Pridobljeno 21 4 2022 s spletne strani: https://wwwepagov/sites/production/files/2016-09/documents/cyanide-compoundspdf←
- 75 Agency for Toxic Substances and Disease Registry (ATSDR) Toxicological Profile for Cyanide (Update) [spletna stran na Internetu] Pridobljeno 21 4 2022 s spletne strani: https://wwwatsdrcdcgov/toxprofiles/tp8pdf←
- 76 International Programme on Chemical Safety (IPCS), Selected non-heterocyclic policyclic aromatic hydrocarbons [spletna stran na Internetu] Pridobljeno 21 4 2022 s spletne strani: http://wwwinchemorg/documents/ehc/ehc/ehc202htm←
- 77 Abdel-Shafy HI, Mansour MSM A review on polycyclic aromatic hydrocarbons: Source, environmental impact, effect on human health and remediation Egyptian Journal of Petroleum 2016; 25(1): 107–23←
- 78 Van den Berg M, Birnbaum LS, Denison M, De Vito M, Farland W, Feeley M, et al The 2005 World Health Organization reevaluation of human and Mammalian toxic equivalency factors for dioxins and dioxin-like compounds Toxicol Sci 2006; 93(2): 223–41←
- 79 Hay A Toxic cloud over Seveso Nature 1976; 262(5570): 636–8←
- 80 Sorg, O, Zennegg, M, Schmid, P, Fedosyuk, R, Valikhnovskyi, R, Gaide, O, Kniazevych, V, Saurat, J H (2009) 2,3,7,8-tetrachlorodibenzo-p-dioxin (TCDD) poisoning in Victor Yushchenko: identification and measurement of TCDD metabolites Lancet, 374(9696), 1179–85←
- 81 Perharič L Vsi dogodki so med seboj prepleteni v najboljšem vseh svetov ISIS, julij 2017, str 21 do 25; Dioksini, furani in PCB v živilih oziroma hrani https://wwwnijzsi/sl/dioksini-furani-in-pcb-v-zivilih-oziroma-hrani←
- 82 Pelclová D, Urban P, Preiss J, Lukás E, Fenclová Z, Navrátil T, et al Adverse health effects in humans exposed to 2,3,7,8-tetrachlorodibenzo-p-dioxin (TCDD) Rev Environ Health 2006; 21(2): 119–38←
- 83 Agency for Toxic Substances and Disease Registry (ATSDR) Toxicological profile for chlorinated dibenzo-p-dioxins [spletna stran na Internetu] Pridobljeno 21 4 2022 s spletne strani: https://wwwatsdrcdcgov/toxprofiles/tp104pdf←
- 84 Crow KD Chloracne Br J Dermatol 1970 Nov; 83(5): 599–600←
- 85 Letz G The toxicology of PCB's--an overview for clinicians West J Med 1983; 138(4): 534–40←
- 86 National Toxicology Program Polychlorinated biphenyls Rep Carcinog 2011; 12: 349–53 PMID: 21863084←
- 87 Centers for Diseases Control and Prevention (CDC) Dioxins, Furans and Dioxin-Like Polychlorinated Biphenyls Factsheet [spletna stran na Internetu] Pridobljeno 21 4 2022 s spletne strani: https://wwwcdcgov/biomonitoring/DioxinLikeChemicals_FactSheethtml←
- 88 Brvar M NEVARNE SNOVI V DIMU IN PEPELU PRI SEŽIGANJU ODPADKOV V: Vpliv sežiganja odpadkov na okolje in zdravje Zbornik prispevkov, 8 srečanje o kemijski varnosti; Slovensko zdravniško društvo, Sekcija za klinično toksikologijo: Univerzitetni klinični center Ljubljana, Center za klinično toksikologijo in farmakologijo, Interna klinika, 2019 ←
- 89 Badiu C WILLIAMS TEXTBOOK OF ENDOCRINOLOGY Acta Endocrinol (Buchar) 2019; 15(3): 416←
- 90 Kimbourgh RD Chlorodibenzofurans Wexler P, editor Encyclopedia of Toxicology (Third Edition) Oxford: Academic Press; 2014 p 876–9←
- 91 Nacionalni Inštitut za Javno Zdravje Dioksini, furani in PCB v živilih oziroma hrani [spletna stran na Internetu] Pridobljeno 21 4 2022 s spletne strani: https://wwwnijzsi/sl/dioksini-furani-in-pcb-v-zivilih-oziroma-hrani←
- 92 European Chemicals Agency (ECHA) Benzene [spletna stran na Internetu] Pridobljeno 21 4 2022 s spletne strani: https://echaeuropaeu/substance-information/-/substanceinfo/100000685←
- 93 National Center for Biotechnology Information (2022) PubChem Compound Summary for CID 996, Phenol Pridobljeno 21 4 2022 s spletne strani https://pubchemncbinlmnihgov/compound/Phenol←
- 94 European Chemicals Agency (ECHA) Phenol [spletna stran na Internetu] Pridobljeno 21 4 2022 s spletne strani: https://echaeuropaeu/substance-information/-/substanceinfo/100003303←
- 95 National Center for Biotechnology Information (2022) PubChem Compound Summary for CID 7501, Styrene Pridobljeno 21 4 2022 s spletne strani https://pubchemncbinlmnihgov/compound/Styrene←
- 96 European Chemicals Agency (ECHA) Styrene [spletna stran na Internetu] Pridobljeno 21 4 2022 s spletne strani: https://echaeuropaeu/sl/substance-information/-/substanceinfo/100002592←
- 97 Andersson B, Blomqvist P Experimental study of thermal breakdown products from halogenated extinguishing agents Fire Safety Journal 2011; 46(3): 104–15←
- 98 Costa LG, Giordano G Developmental neurotoxicity of polybrominated diphenyl ether (PBDE) flame retardants Neurotoxicology 2007 Nov; 28(6): 1047–67 ←
- 99 Shy CG, Huang HL, Chang-Chien GP, Chao HR, Tsou TC Neurodevelopment of infants with prenatal exposure to polybrominated diphenyl ethers Bull Environ Contam Toxicol 2011 Dec; 87(6): 643–8←
- 100 Risk to human health related to the presence ofperfluoroalkyl substances in food EFSA Journal 2020; 18(9): 6223←
- 101 Young AS, Sparer-Fine EH, Pickard HM, Sunderland EM, Peaslee GF, Allen JG Per- and polyfluoroalkyl substances (PFAS) and total fluorine in fire station dust J Expo Sci Environ Epidemiol 2021 Sep; 31(5): 930–42←
- 102 Naeher LP, Brauer M, Lipsett M, Zelikoff JT, Simpson CD, Koenig JQ, Smith KR Woodsmoke health effects: a review Inhal Toxicol 2007 Jan; 19(1): 67–106←
- 103 Moryani HT, Kong S, Du J, Bao J Health Risk Assessment of Heavy Metals Accumulated on PM25 Fractioned Road Dust from Two Cities of Pakistan Int J Environ Res Public Health 2020 Sep 29; 17(19): 7124←
- 104 Perčič S, Otorepec P, Kukec A Različni patofiziološki učinki onesnaževal v zunanjem zraku na telesna tkiva Zdrav Vestn 2018; 87(3–4): 123–46←
- 105 Mazzoli-Rocha F, Fernandes S, Einicker-Lamas M, Zin WA Roles of oxidative stress in signaling and inflammation induced by particulate matter Cell Biol Toxicol 2010 Oct; 26(5): 481–98 ←
- 106 Fadeel B, Pietroiusti A, Shvedova AA ADVERSE EFFECTS OF ENGINEERED NANOMATERIALS EXPOSURE, TOXICOLOGY, AND IMPACT ON HUMAN HEALTH Preface Adverse Effects of Engineered Nanomaterials: Exposure, Toxicology, and Impact on Human Health 2012:IX-XI←
- 107 Hertzberg T, Blomqvist P Particles from fires - a screening of common materials found in buildings Fire and Materials 2003; 27(6): 295–314←
- 108 Nemmar A, Hoet PH, Vanquickenborne B, Dinsdale D, Thomeer M, Hoylaerts MF, et al Passage of inhaledparticles into the blood circulation in humans Circulation 2002 Jan; 105(4): 411–4←
- 109, (53–54). Lewis NJ, Curtis MF. Occupational Health and Hygiene following a Fire in a Warehouse with an Asbestos Cement Roof, Occupational Medicine, Volume 40, Issue 2, Summer 1990, Pages : . ←
- 110, (2007). Bridgman, 2000 v: Smith KR, Saunders PJ: The Public Health Significance of Asbestos Exposures from Large Scale Fires. HPA : . ←
- 111 Bridgman SA Acute health effects of a fire associated with asbestos containing fallout J Public Health Medicine 2000, Vol 22, No 3, 400–5←
- 112 International Agency for Research on Cancer Monographs on the Evaluation of Carcinogenic Risks to Humans Volume 100C (2012) Asbestos (chrysotile, amosite, crocidolite, tremolite, actinolite, and anthophyllite) [spletna stran na Internetu] Pridobljeno 21 4 2022 s spletne strani: http://monographsiarcfr/ENG/Monographs/vol100C/mono100C-11pdf←
- 113 Nishikawa K et al Recent Mortality from Pleural Mesothelioma, Historical Patterns of Asbestos Use, and Adoption of Bans: A Global Assessment Environmental Health Perspectives 2008; Vol 116: No 12: December 2008←
- 114 Collegium Ramazzini Asbestos is still with us: repeat call for a universal ban International journal of occupational medicine and environmental health, 2010; 23(2), 201–7←
- 115 Kovač V Mezoteliomi ONKOLOGIJA / pregledi leto XVI / št 2 / december 2012←
- 116 Franko A, Dolžan V, Kovač V, Arneric N, Dodič-Fikfak M Soluble mesothelin-related peptides levels in patients with malignant mesothelioma Dis Markers 2012; 32: 123–31←
- 117 Tchounwou PB, Yedjou CG, Patlolla AK, Sutton DJ Heavy metal toxicity and the environment Exp Suppl 2012; 101: 133–64 ←
- 118 Adetona O, Reinhardt TE, Domitrovich J, Broyles G, Adetona AM, Kleinman MT, et al Review of the health effects of wildland fire smoke on wildland firefighters and the public Inhal Toxicol 2016; 28(3): 95–139←
- 119 Nacionalni Inštitut za Javno Zdravje Priporočila okoliškim prebivalcem po požaru pri Vrhniki [spletna stran na Internetu] Pridobljeno 21 4 2022 s spletne strani: Pridobljeno: https://wwwnijzsi/sl/priporocila-okoliskim-prebivalcem-po-pozaru-pri-vrhniki←
- 120 Nacionalni Inštitut za Javno Zdravje Priporočila za prebivalce po požaru v Ljutomeru [spletna stran na Internetu] Pridobljeno 21 4 2022 s spletne strani: https://wwwnijzsi/sl/priporocila-za-prebivalce-po-pozaru-v-ljutomeru←
- 121 Nacionalni Inštitut za Javno Zdravje Priporočila prebivalcem po požaru pri Novem mestu [spletna stran na Internetu] Pridobljeno 21 4 2022 s spletne strani: https://wwwnijzsi/sl/priporocila-prebivalcem-po-pozaru-pri-novem-mestu←
- 122 Galičič A et al Pristop k določitvi prizadetega območja in vzorčenja segmentov okolja za oceno dolgoročnega vpliva požara v podjetju Kemis doo na Vrhniki na zdravje ljudi Javno zdravje 2018; 2(1): 21–8←
- 123 Joksić, A Š, Tratnik, J S, Mazej, D, Kocman, D, Stajnko, A, Eržen, I, Horvat, M (2022) Polycyclic aromatic hydrocarbons (PAHs) in men and lactating women in Slovenia: Results of the first national human biomonitoring International Journal of Hygiene and Environmental Health, 2022; 241, 113943←
- 124 Perharic L, Vracko P Development of national human biomonitoring programme in Slovenia Int J Hyg Environ Health 2012 Feb; 215(2): 180–4 doi: 101016/jijheh201110014 Epub 2011 Dec 9 ←
- 125 HBM4EU Science and policy for a healthy future [spletna stran na Internetu] Pridobljeno 21 4 2022 s spletne strani: https://wwwhbm4eueu/←
- 126 Andersson, B, Blomqvist, P Experimental study of thermal breakdown products from halogenated extinguishing agents Fire Safety Journal, 2011; 46(3): 104–15←
- 127 Dodič Fikfak, M Vpliv sežigalnic, sosežigalnic in termoelektrarn na zdravje delavcev in okoliških prebivalcev V: Vpliv sežiganja odpadkov na okolje in zdravje : zbornik prispevkov Slovensko zdravniško društvo, Sekcija za klinično toksikologijo; Univerzitetni klinični center Ljubljana, Center za klinično toksikologijo in farmakologijo, Interna klinika; 2019←
ZAHVALA
Delo je nastalo s finančno pomočjo projekta InnoRenew CoE (Horizon 2020 Framework Programme of the European Union; H2020 WIDESPREAD-2-Teaming.








